The coronavirus disease (COVID-19) pandemic, caused by the severe acute respiratory syndrome (SARS-CoV-2), has caused more than 59 million cases globally.
Currently, there is no vaccine or drug approved for the infection. However, doctors and scientists use repurposed medicines to help hospitalized patients recover faster and improve clinical outcomes.
One of the drugs proposed is the anti-parasitic drug ivermectin (IVM).
A team of researchers at the Institut Pasteur in France has found that ivermectin prevented clinical deterioration in infected animals. The drug also reduced the inflammatory cytokines, interleukin-6 and 10 (IL-6 and IL-10) in lung tissue, which leads to more favorable clinical outcomes in treated animals.
What is ivermectin?
Ivermectin is an FDA-approved broad-spectrum anti-parasitic agent. Introduced initially as a veterinary drug, it kills a wide range of internal and external parasites in commercial livestock animals. In recent years, ivermectin has been used to treat various diseases, with its antimicrobial and antiviral properties.
Recently, the use of the drug has been proposed, given its potential anti-SARS-CoV-2 activity.
"Ivermectin is a positive allosteric modulator of the alpha-7 nicotinic acetylcholine receptor, which has been suggested to represent a target for the control of Covid-19 infection, with a potential immunomodulatory activity," the researchers wrote in the paper.
The study
The study, which appeared on the preprint serve bioRxiv*, aimed to investigate the effects of ivermectin alone on SARS-CoV-2 infection using golden Syrian hamsters as models for COVID-19.
The researchers inoculated the animals with SARS-CoV-2, which caused symptomatic infection. The hamsters showed a high incidence of anosmia or the loss of smell and high viral loads in the upper and lower respiratory tracts within four days.
The team also administered a single subcutaneous injection of ivermectin at the time of the infection. They monitored the hamsters for four days. Meanwhile, mock-infected animals received a physiological solution only.
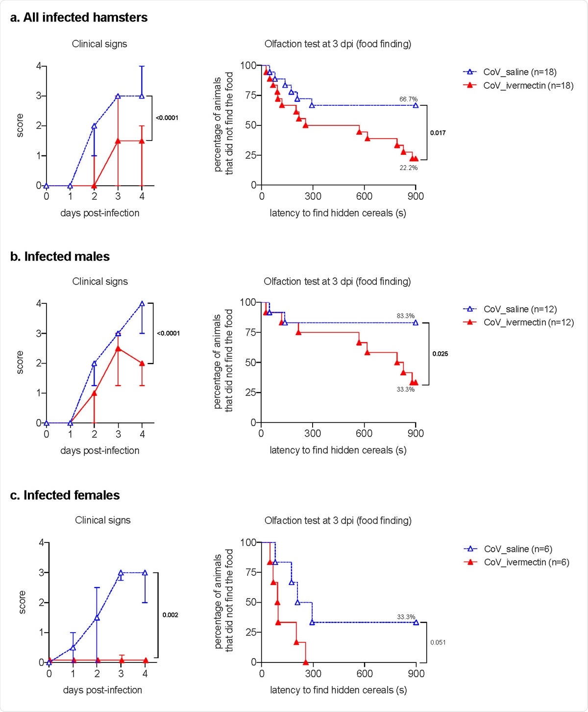
Clinical presentation and olfaction test of SARS-CoV-2-infected hamsters with and without ivermectin treatment. a. clinical signs and olfactory deficit in all infected hamsters. b, clinical signs and olfactory deficit in infected male hamsters only. c, clinical signs and olfactory deficit in infected female hamsters only. The clinical score is based on a cumulative 0-4 scale: ruffled fur; slow movements; apathy; stress when manipulated. The olfaction test is based on the buried food finding test. Curves represent the percentage of animals that did not find the buried food. Food finding assays were performed at 3 days post-infection. Mann-Whitney test at 4 dpi (clinical signs) and Log rank (Mantel-Cox) test (olfaction tests). The p value is indicated in bold when significant at a 0.05 threshold. Symbols indicate the median ± interquartile range. Data were obtained from three independent experiments for males and two independent experiments for females.

This news article was a review of a preliminary scientific report that had not undergone peer-review at the time of publication. Since its initial publication, the scientific report has now been peer reviewed and accepted for publication in a Scientific Journal. Links to the preliminary and peer-reviewed reports are available in the Sources section at the bottom of this article. View Sources
Reduced olfactory deficit
The study findings showed that ivermectin-treated and infected animals manifested a reduction in the severity of clinical signs. Interestingly, the animal that received ivermectin had a reduced olfactory deficit.
About 66.7 percent of the mock animals presented with hyposmia or anosmia, compared with just 22.2 percent in those who received ivermectin.
Interleukin-6 and 10 (IL-6 and IL-10) in lung tissue
When the team treated the animals with ivermectin, there were marked differences between sex groups in the nasal turbinates. Female hamsters manifested a down-regulation of some mediators, such as the IL-6 and IL-10, tumor necrosis factor (Tnf-α), and the C-X-C motif chemokine ligand 10 (CXCL10). Meanwhile, men presented an increase in two pro-inflammatory mediators, interferon-gamma (IFNγ) and chemokine ligand 5 (Ccl5).
Moreover, there is a lower expression of Cxcl10, a key mediator involved in respiratory disease and olfaction dysfunction in COVID-19 patients, in the nasal turbinates of animals treated with ivermectin-treated females without marked changes in males.
"These findings are in line with the better performance of IVM-treated females observed in the food finding tests," the researchers explained.
The team found a marked overexpression of interleukin 10 (IL-10) in IVM-treated males and females, which may be tied to a modulation of the lungs' inflammatory response.
Further, the Il-6/Il-10 ratio in the lung in the IVM-treated hamsters was lower than in those who were not given the drug.
"In particular, the low Il-6/Il-10 17 ratio observed in the lung of IVM-treated hamsters may predict their better clinical presentation, as observed in humans, as lower plasmatic IL-6/IL-10 ratios are detected in hospitalized COVID-19 patients who do not require intensive care," the researchers wrote in the study.
The researchers concluded that ivermectin might be considered as a new therapeutic agent against COVID-19. The drug can help improve patients' prognosis as it leads to the modulation of the cytokine gene expressed in the airways.

This news article was a review of a preliminary scientific report that had not undergone peer-review at the time of publication. Since its initial publication, the scientific report has now been peer reviewed and accepted for publication in a Scientific Journal. Links to the preliminary and peer-reviewed reports are available in the Sources section at the bottom of this article. View Sources
Journal references:
- Preliminary scientific report.
Anti-COVID-19 efficacy of ivermectin in the golden hamster, Guilherme Dias de Melo, Françoise Lazarini, Florence Larrous, Lena Feige, Lauriane Kergoat, Agnes Marchio, Pascal Pineau, Marc Lecuit, Pierre-Marie Lledo, Jean-Pierre Changeux, Herve Bourhy, bioRxiv 2020.11.21.392639; doi: https://doi.org/10.1101/2020.11.21.392639, https://www.biorxiv.org/content/10.1101/2020.11.21.392639v1
- Peer reviewed and published scientific report.
Melo, Guilherme Dias, Françoise Lazarini, Florence Larrous, Lena Feige, Etienne Kornobis, Sylvain Levallois, Agnès Marchio, et al. 2021. “Attenuation of Clinical and Immunological Outcomes during SARS‐CoV‐2 Infection by Ivermectin.” EMBO Molecular Medicine 13 (8). https://doi.org/10.15252/emmm.202114122. https://www.embopress.org/doi/full/10.15252/emmm.202114122.