Exploring serum albumin binding kinetics with curcuminoids using stopped-flow fluorescence

Rapid mixing accessories designed to conduct stopped flow measurements are utilized to characterize interactions and reactions occurring in solution. Reactants are expelled from syringes, mixed, and injected into a flow cell. The flow is subsequently stopped, and the ensuing reaction/interaction is monitored. If one of the reactants exhibits fluorescence, this phenomenon can be utilized to track the interaction.

However, intensity-based methods can be affected by fluctuations in the detected signal, such as those resulting from photobleaching. While this can be avoided by utilizing the fluorescence lifetime, data collection times have constrained its usage.

The recent introduction of significantly low deadtime electronics, combined with high repetition rate excitation sources, now facilitates efficient and rapid measurement of fluorescence decays. In such cases, the interaction of a fluorescent curcuminoid mixture is monitored with serum albumin via a stopped flow accessory on the DeltaFlex platform with DeltaDiode excitation at 100 MHz.

Stopped flow – kinetic TCSPC measurements

A typical stopped flow accessory is presented schematically in Figure 1. Driving the reactant syringes, either manually or mechanically, expels the reactants which are then rapidly mixed and introduced into the flow cell, replacing the existing liquid volume. A stop limits the volume entering the syringe and can be utilized to generate an electronic signal to initiate data collection, if configured.

Schematic representation of a stopped flow set up.

Fig. 1. Schematic representation of a stopped flow set up. Image Credit: HORIBA

Mixing reactions occurring on the millisecond timescale can be tracked with this method. Previous studies involving fluorescence have utilized intensity-based approaches. However, fluctuations in excitation source intensity and sample photobleaching can affect these types of measurements.

Fluorescence lifetime is beneficial because, along with its inherent sensitivity, it is an absolute measurement - unlike steady state fluorescence, which is relative. Moreover, the lifetime remains unaffected by dilution as the reactant liquids mix or if the sample photobleaches.

Until recently, instrumentation lacked the efficiency to obtain data on these timescales. However, the introduction of significantly low deadtime electronics, combined with high repetition rate excitation sources, now makes such measurements viable.

The kinetic TCSPC measurement mode, available in both the DeltaFlex and DeltaPro platforms, allows the acquisition of up to 10,000 time‐resolved fluorescence decays, with each histogram seamlessly collected in as little as 1 ms. The 100 MHz capability of the DeltaDiode is optimally matched to the significantly low dead time of the DeltaHub (10 ns). For short data collection times, this level of efficiency is necessary to achieve adequate data quality.

The stopped flow accessory fits into the standard cuvette (10 mm pathlength) holder in the DeltaFlex (Figure 2) using a modified sample chamber lid.

DeltaFlex with stopped flow accessory entering via a “split” sample chamber lid

Fig. 2. DeltaFlex with stopped flow accessory entering via a “split” sample chamber lid. Image Credit: HORIBA

Using the DataStation control software, data acquisition can be initiated either via an external TTL signal from the stopped flow accessory (if configured) or manually within the software, in the kinetic TCSPC measurement mode.

Curcuminoid ‐ serum albumin binding

The examination of curcuminoid interactions with proteins holds significance, as these compounds are being promoted for their potential health benefits. The role of serum albumin in the blood makes it a suitable model protein for observing this interaction.

In this experiment, a syringe was filled with a solution of curcuminoid in DMSO/buffer, with the other reactant syringe containing serum albumin in buffer. In this solvent mixture, the curcuminoids possess weak fluorescence and display a short fluorescence lifetime.

Upon interaction with the protein, both the fluorescence quantum yield and lifetime increase. To maximize photon collection, a repetition rate of 100 MHz was employed, and a 2 ms collection time per decay was utilized. Data acquisition was initiated in DataStation to provide a “background”, and the reactants were manually expelled.

Following analysis via DAS6 software, the change in average lifetime throughout the course of the experiment was plotted, as shown in Figure 3. This plot can be used to calculate kinetic rates if necessary.

Change in average fluorescence lifetime with time. The excitation source was a DD‐395L operating at 100 MHz with decay histograms collected every 2 ms. Stopped flow accessory operated manually

Fig. 3. Change in average fluorescence lifetime with time. The excitation source was a DD‐395L operating at 100 MHz with decay histograms collected every 2 ms. Stopped flow accessory operated manually. Image Credit: HORIBA

Due to the limited photostability of curcuminoids, photostability is a risk when using these compounds in a small-volume flow cell with a high-intensity (and repetition rate) excitation source.

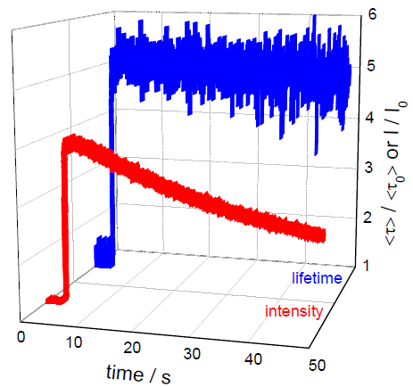
Although the fluorescence lifetime remains unaffected, a measurement of the intensity (obtained from the TCSPC measurement) will exhibit a decrease with time. This is demonstrated in a second measurement (conducted under similar settings), employing 5 ms per decay data collection time for the acquisition of the 10,000 time‐resolved fluorescence decay curves. This is illustrated in Figure 4.

Comparison between intensity and lifetime data obtained from a stopped flow measurement with data collected every 5 ms.

Fig. 4. Comparison between intensity and lifetime data obtained from a stopped flow measurement with data collected every 5 ms. Image Credit: HORIBA

Figure 4 clearly shows that the fluorescence intensity decreases over time after the initial rise associated with the curcuminoids binding to the serum albumin. This is attributed to photobleaching. However, it is worth noting that the fluorescence lifetime remains stable. The influence of photobleaching has obvious implications if this kinetic process were to be analyzed with the intensity-based measurement.

Summary

Through the simple addition of a stopped flow accessory to the DeltFlex platform, the ability to monitor kinetic processes occurring on the millisecond timescale has been successfully demonstrated. This was operated in the kinetic TCSPC measurement mode, aided by the use of a high repetition rate excitation source combined with significantly low dead time electronics for efficient data collection.

In this study, the resulting data clearly shows the benefits of utilizing the fluorescence lifetime to obtain kinetics unaffected by sample photobleaching.

About HORIBA

Founded in 1953, HORIBA has explored a wide range of unique measurement and analysis technologies to meet global customer needs from 47 group companies and local sites spread across 28 countries and regions. Under the corporate motto Joy and Fun, the company has expanded and refined its core tech-nologies to solve society’s energy issues of today and tomorrow. Our unique measurement and analysis technologies are valued in various fields of society including the three megatrend business fields of Ener-gy & Environment, Biology & Healthcare and Materials & Semiconductor. For more information on HORIBA, visit https://www.horiba.com/int/company/about-horiba/home/


Sponsored Content Policy: News-Medical.net publishes articles and related content that may be derived from sources where we have existing commercial relationships, provided such content adds value to the core editorial ethos of News-Medical.Net which is to educate and inform site visitors interested in medical research, science, medical devices and treatments.

Last updated: Jan 14, 2026 at 6:59 AM

Citations

Please use one of the following formats to cite this article in your essay, paper or report:

  • APA

    HORIBA. (2026, January 14). Exploring serum albumin binding kinetics with curcuminoids using stopped-flow fluorescence. News-Medical. Retrieved on January 16, 2026 from https://www.appetitewellbeing.com/whitepaper/20250818/Exploring-serum-albumin-binding-kinetics-with-curcuminoids-using-stopped-flow-fluorescence.aspx.

  • MLA

    HORIBA. "Exploring serum albumin binding kinetics with curcuminoids using stopped-flow fluorescence". News-Medical. 16 January 2026. <https://www.appetitewellbeing.com/whitepaper/20250818/Exploring-serum-albumin-binding-kinetics-with-curcuminoids-using-stopped-flow-fluorescence.aspx>.

  • Chicago

    HORIBA. "Exploring serum albumin binding kinetics with curcuminoids using stopped-flow fluorescence". News-Medical. https://www.appetitewellbeing.com/whitepaper/20250818/Exploring-serum-albumin-binding-kinetics-with-curcuminoids-using-stopped-flow-fluorescence.aspx. (accessed January 16, 2026).

  • Harvard

    HORIBA. 2026. Exploring serum albumin binding kinetics with curcuminoids using stopped-flow fluorescence. News-Medical, viewed 16 January 2026, https://www.appetitewellbeing.com/whitepaper/20250818/Exploring-serum-albumin-binding-kinetics-with-curcuminoids-using-stopped-flow-fluorescence.aspx.

Other White Papers by this Supplier

While we only use edited and approved content for Azthena answers, it may on occasions provide incorrect responses. Please confirm any data provided with the related suppliers or authors. We do not provide medical advice, if you search for medical information you must always consult a medical professional before acting on any information provided.

Your questions, but not your email details will be shared with OpenAI and retained for 30 days in accordance with their privacy principles.

Please do not ask questions that use sensitive or confidential information.

Read the full Terms & Conditions.