The electronic cigarette and vaping industries are expanding. In these products, the mixtures which are typically used are called e-juices, e-liquids, or e-fluids. In order to guarantee these e-liquids' qualities, it is necessary to test the most important quality parameters. Nicotine content in e-liquids constitutes one important quality control parameter.

Liquid or gas chromatography usually determines the level of nicotine in tobacco. A significantly more affordable alternative for this determination is non-aqueous acid base titration.
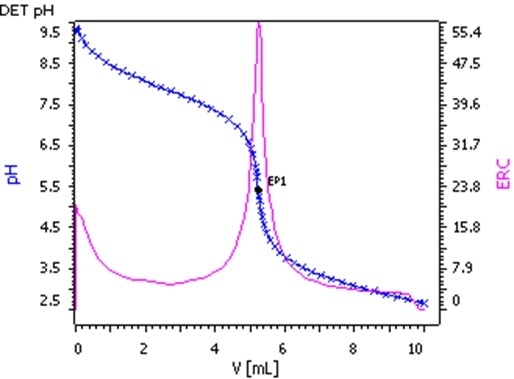
It is possible to apply the aqueous acid base titration put forward in this article to the determination of nicotine. This is because e-liquids do not contain other components which may interfere with the titration.
This technique constitutes a reliable and affordable method of determining e-liquids' nicotine content, as well as their nicotine starting material. This can ensure these products' quality.
Method Description
Sample
Nicotine starting material for e-liquids
E-liquids
Sample preparation
No sample preparation is required
Configuration
| . |
. |
| 905 Titrando |
2.905.0010 |
| 804 Ti stand |
2.804.0040 |
| 802 Rod stirrer |
2.802.0010 |
| 800 Dosino |
2.800.0010 |
| Dosing unit 10 mL |
6.3032.210 |
| Unitrode easyClean |
6.0260.020 |
Solutions
| . |
. |
| Titrant |
c(HCl) = 0.1 mol/L
If possible, this solution should be bought from a supplier. |
Analysis
Dependent upon the expected content of nicotine, a sample weighing between 3-20 g is weighed into clean 120 ml disposable beakers, into which roughly 35 ml of ultrapure water is added. This solution gets stirred for 2 minutes before being titrated with c(HCl)= 0.1 mol/L until after the equivalence point.
Parameters
| . |
. |
| Titration mode |
DET pH |
| Stirring rate |
8 |
| Pause |
0 s |
| Min. waiting time |
0 s |
| Max. waiting time |
26 s |
| Meas. point density |
4 |
| Min. increment |
10 µL |
| Max. increment |
1000 µL |
| Stop volume |
10 mL |
| EP criterion |
5 |
| EP recognition |
greatest |
Results
| Sample (n = 3) |
Nicotine content /
(mg/mL) |
s(rel) /
% |
| Nicotine starting material |
31.39 |
0.03 |
| E-liquid 1 |
5.64 |
0.24 |
| E-liquid 2 |
2.82 |
0.04 |
| E-liquid 3 |
15.32 |
0.53 |
| E-liquid 4 |
10.15 |
0.35 |
About Metrohm
At Metrohm is one of the world’s most trusted manufacturers of high-precision instruments for chemical analysis. Metrohm was founded in 1943 by engineer Bertold Suhner in Herisau, Switzerland. Today, Metrohm is represented in 120 countries by subsidiaries and exclusive distributors. The global Metrohm Group also includes the Dutch companies Metrohm Applikon and Metrohm Autolab, manufacturers of online analyzers and instruments for electrochemical research, respectively. Recently, the Metrohm Group was joined by Metrohm Raman, a leading manufacturer of handheld Raman spectrometers.
Metrohm is the global market leader in analytical instruments for titration. Instruments for ion chromatography, voltammetry, conductivity, and stability measurement make the Metrohm portfolio for ion analysis complete. Instruments for Near-infrared and Raman spectroscopy are another, strongly growing segment of the Metrohm portfolio.
Metrohm is a problem solver, both in the laboratory and within the industrial process. To this end, the company offers their customers complete solutions, including dedicated analytical instrumentation as well as comprehensive application know-how. More than 30% of the company’s employees at the Metrohm international headquarters in Herisau work in R&D.
Metrohm has been owned 100% by the non-profit Metrohm Foundation since 1982. The Metrohm Foundation, which does not exert any influence on the company’s business operations, sponsors gifted students in the natural sciences, supports charitable and philanthropic purposes and, above all, ensures the independence of the company.
Sponsored Content Policy: News-Medical.net publishes articles and related content that may be derived from sources where we have existing commercial relationships, provided such content adds value to the core editorial ethos of News-Medical.Net which is to educate and inform site visitors interested in medical research, science, medical devices and treatments.