Global food trade improves diets but red meat imports raise health concerns

In a recent study published in the journal Nature Food, researchers assessed the health implications of international food trade, determining its positive and negative effects on dietary risks and diet-related mortality globally using 2019 trade data.

Image Credit: vovidzha / Shutterstock

Background 

Around 20-25% of food for human consumption is traded internationally. While this trade increases food variety and can enhance nutritional security and environmental resource use, it is also linked to environmental pollution outsourcing and potential health risks, like rising obesity. Most studies on trade and health either correlate health markers with trade liberalization or assess how trade affects calorie and nutrient distribution. Further research is needed to understand the intricate relationships between international food trade and dietary health, considering both the environmental and health implications of traded foods and their impacts on global dietary patterns and associated diseases.

About the study

Utilizing bilateral trade data from the Food and Agriculture Organization of the United Nations (FAO), the study examined food trade between countries. The FAO's data, which encompasses all food and agricultural products traded annually, undergoes rigorous processing, including outlier checks, data gap filling, and accounting for non-reporting nations. The data typically identifies the last country that added value to a product as its source. Using a balancing algorithm, food origins were traced by linking final demand with primary product origins.

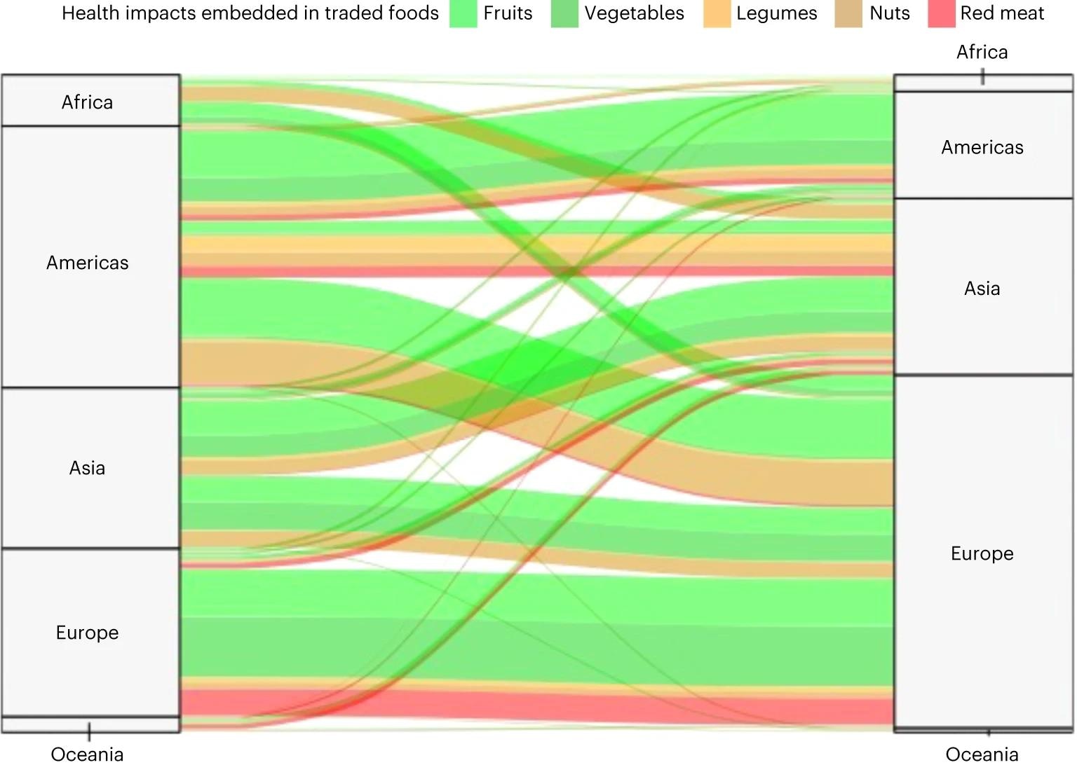
Changes in mortality occur and are estimated in the importing region (right) and traced back to the exporting region (left) to highlight the connection via trade. Please note that the trade flows of diet-related mortality impacts are not strictly conserved between exporting and importing regions. Mortality impacts would differ if the exported foods would be consumed in the exporting country owing to differences in baseline intake and mortality rates.Changes in mortality occur and are estimated in the importing region (right) and traced back to the exporting region (left) to highlight the connection via trade. Please note that the trade flows of diet-related mortality impacts are not strictly conserved between exporting and importing regions. Mortality impacts would differ if the exported foods would be consumed in the exporting country owing to differences in baseline intake and mortality rates.

This study aggregated food items into categories essential for health evaluations, like vegetables, fruits, legumes, nuts, and red meat, emphasizing foods with established disease associations from epidemiological studies. It should be noted, however, that other traded foods, like ultra-processed ones, can also affect health. To comprehend the health ramifications of food trade, traded quantities were adjusted for population and household-level food waste.

A comparative risk assessment was devised to evaluate the health impact of the food commodities trade. It considered dietary risks in relation to diseases like coronary heart disease, stroke, and diabetes. Using various expert criteria, including the Nutrition and Chronic Diseases Expert Group and the World Cancer Research Fund, dietary risks. Associations with disease outcomes were deemed either moderate or high in reliability. Primarily addressing chronic disease mortality in adults, the study also adjusted risk evaluations for age attenuation and integrated an uncertainty analysis to offer trade-influenced mortality estimates, aligning with the Guidelines for Accurate and Transparent Health Estimates Reporting (GATHER).

Exporters and importers of dietary risks, measured in changes in mortality. a,b, Changes in mortality occur and are estimated in the importing region (b) and traced back to the exporting region (a) to highlight the connection via trade.E​​​​​​​xporters and importers of dietary risks, measured in changes in mortality. a,b, Changes in mortality occur and are estimated in the importing region (b) and traced back to the exporting region (a) to highlight the connection via trade.

Study results 

In 2019, over 190 million tonnes of foods associated with dietary risks were traded internationally, accounting for 3-12% of their production. This included legumes, fruits, vegetables, red meat, and nuts. A significant portion of these exports originated from the Americas, notably Brazil and Argentina, Asia, especially China, and Europe, particularly Germany. 

Food imports contributed to national food availability at an average rate of 3-31 grams per person daily, fulfilling 5-21% of demand. The contribution of imports to per-person food demand varied for fruits, vegetables, red meat, legumes, and nuts. Regionally, Europe relied heavily on imports, especially fruits, vegetables, and legumes, while Africa's import dependency was relatively low.

Interestingly, when the trade-related contributions to food intake were considered and food waste was subtracted, the analysis revealed a net decrease in diet-related fatality of 1.2 million deaths. The most significant mortality reductions were attributed to trade-related intakes of fruits, vegetables, nuts, and legumes. However, increased intake of traded red meat was associated with a rise in diet-related mortality. 

Breaking it down further, over half of the reductions in diet-related deaths were tied to food imports in Europe, particularly vegetables from other European regions and fruits from the Americas. Asia and the Americas also saw significant reductions in mortality due to food imports, largely from intra-regional trade. When the health impacts were attributed to exporting regions, the Americans emerged as the top contributor to reductions in mortality, followed by Asia and Europe.

On a national scale, out of 153 importing countries, 152 experienced health benefits from imports of health-sensitive foods, notably the United States, Russia, Germany, China, and the United Kingdom. These benefits were primarily driven by imports of fruits, vegetables, nuts, and legumes. Only Papua New Guinea experienced a net increase in diet-related deaths, mainly due to red meat imports outweighing the benefits of other food imports.

Of the 181 countries exporting health-sensitive foods, 90% contributed to a decline in diet-related mortality through their exports, while 10% led to an increase. China's exports, driven by vegetables and nuts, led to the highest reduction, followed by the United Nations, Brazil, Spain, and Turkey. Meanwhile, a few countries, including Germany, Denmark, and Ireland, were identified as contributing to net increases in mortality, mainly due to their substantial exports of red meat. 

Journal reference:
Vijay Kumar Malesu

Written by

Vijay Kumar Malesu

Vijay holds a Ph.D. in Biotechnology and possesses a deep passion for microbiology. His academic journey has allowed him to delve deeper into understanding the intricate world of microorganisms. Through his research and studies, he has gained expertise in various aspects of microbiology, which includes microbial genetics, microbial physiology, and microbial ecology. Vijay has six years of scientific research experience at renowned research institutes such as the Indian Council for Agricultural Research and KIIT University. He has worked on diverse projects in microbiology, biopolymers, and drug delivery. His contributions to these areas have provided him with a comprehensive understanding of the subject matter and the ability to tackle complex research challenges.    

Citations

Please use one of the following formats to cite this article in your essay, paper or report:

  • APA

    Kumar Malesu, Vijay. (2023, October 10). Global food trade improves diets but red meat imports raise health concerns. News-Medical. Retrieved on January 17, 2026 from https://www.appetitewellbeing.com/news/20231010/Global-food-trade-improves-diets-but-red-meat-imports-raise-health-concerns.aspx.

  • MLA

    Kumar Malesu, Vijay. "Global food trade improves diets but red meat imports raise health concerns". News-Medical. 17 January 2026. <https://www.appetitewellbeing.com/news/20231010/Global-food-trade-improves-diets-but-red-meat-imports-raise-health-concerns.aspx>.

  • Chicago

    Kumar Malesu, Vijay. "Global food trade improves diets but red meat imports raise health concerns". News-Medical. https://www.appetitewellbeing.com/news/20231010/Global-food-trade-improves-diets-but-red-meat-imports-raise-health-concerns.aspx. (accessed January 17, 2026).

  • Harvard

    Kumar Malesu, Vijay. 2023. Global food trade improves diets but red meat imports raise health concerns. News-Medical, viewed 17 January 2026, https://www.appetitewellbeing.com/news/20231010/Global-food-trade-improves-diets-but-red-meat-imports-raise-health-concerns.aspx.

Comments

The opinions expressed here are the views of the writer and do not necessarily reflect the views and opinions of News Medical.
Post a new comment
Post

Sign in to keep reading

We're committed to providing free access to quality science. By registering and providing insight into your preferences you're joining a community of over 1m science interested individuals and help us to provide you with insightful content whilst keeping our service free.

or

While we only use edited and approved content for Azthena answers, it may on occasions provide incorrect responses. Please confirm any data provided with the related suppliers or authors. We do not provide medical advice, if you search for medical information you must always consult a medical professional before acting on any information provided.

Your questions, but not your email details will be shared with OpenAI and retained for 30 days in accordance with their privacy principles.

Please do not ask questions that use sensitive or confidential information.

Read the full Terms & Conditions.

You might also like...
Brain recordings reveal why food cravings return despite tirzepatide