Bivalent mRNA vaccine is moderately effective in preventing COVID-19

A new study posted to the preprint server medRxiv* assesses the real-world efficacy of the novel bivalent coronavirus disease 2019 (COVID-19) vaccine.

Study: Effectiveness of the Coronavirus Disease 2019 (COVID-19) Bivalent Vaccine. Image Credit: Panorama Images / Shutterstock.com

This news article was a review of a preliminary scientific report that had not undergone peer-review at the time of publication. Since its initial publication, the scientific report has now been peer reviewed and accepted for publication in a Scientific Journal. Links to the preliminary and peer-reviewed reports are available in the Sources section at the bottom of this article. View Sources

Reduced vaccine efficacy against Omicron

Several randomized clinical trials and real-world studies have reported the efficacy of the first messenger ribonucleic acid (mRNA) COVID-19 vaccines after they became available in 2020. In fact, these vaccines were associated with 97% efficacy in preventing severe illness and deaths due to COVID-19.

Despite the benefits of these vaccines, many people in resource-poor countries could not be vaccinated in a timely manner, which subsequently led to several COVID-19 waves worldwide. The continuous evolution of the severe acute respiratory syndrome coronavirus 2 (SARS-CoV-2), the virus responsible for COVID-19, led to the emergence of various viral variants that exhibited superior transmissibility and immune evasive properties.

Previously infected or vaccinated individuals were largely protected against the severe effects of infection, with many of these variants due to natural or vaccine-induced immunity. However, the emergence of the highly immune evasive SARS-CoV-2 Omicron variant reduced the effectiveness of these immune responses following infection with this variant.

To limit the spread and severe effects of infection with this variant, booster vaccine doses were recommended; however, they failed to provide the same degree of protection as the original vaccines against pre-Omicron variants. To overcome the limitations of booster vaccines, bivalent COVID-19 mRNA vaccines comprised antigens of the original SARS-CoV-2 strain, as well as of the Omicron BA.4/BA.5 subvariants, were developed and eventually approved by the United States Food and Drug Administration (FDA).

About the study

The current study involved the recruitment of Cleveland Clinic Health System (CCHS) employees on September 12, 2022, when the bivalent vaccine first became available. Information was collected on the gender, age, job location, and job categorization of all participants.

Any previous diagnosis of COVID-19 before the beginning of the study was reported, along with the pandemic phase when the infection occurred. The study's outcome was time to COVID-19, followed until December 12, 2022.

Study findings

Out of the 51,011 employees included in the study, 20,689 had a history of COVID-19, 12,029 of whom were infected with the Omicron variant. Moreover, 44,592 employees received a single vaccine dose, 42,064 received two doses, 27,254 received three, and 3,858 received four or more doses.

A total of 10.804 employees received the bivalent vaccine, 9,595 of whom received the Pfizer vaccine, and 1,178 received the Moderna vaccine. A total of 2,452 employees tested positive for COVID-19 during the study period.

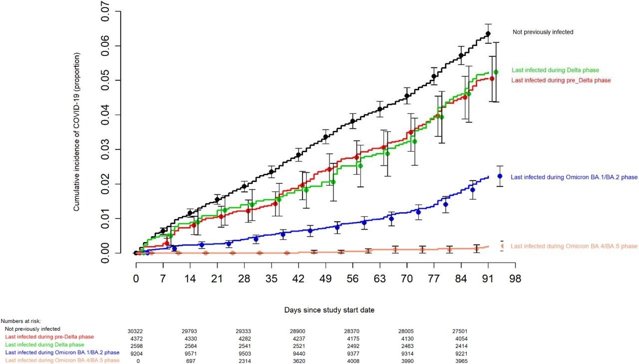
The risk of COVID-19 was lowest for those infected when the Omicron BA.4/BA.5 variant was the dominant circulating strain. However, the risk of being infected with SARS-CoV-2 was higher for those who received more vaccines.

The bivalent vaccine provided some protection against COVID-19, with an efficacy of about 30%. The protective effect of either bivalent vaccine was 21% for previously infected and vaccinated individuals.

Moreover, people with prior SARS-CoV-2 exposure in the last six to nine months were twice as likely to be re-infected. In contrast, those with previous exposure in the past nine to 12 months were at a 3.5-fold greater risk of contracting COVID-19 than those infected within the last 90 days.

The current study indicates that the bivalent COVID-19 vaccine can provide moderate protection against SARS-CoV-2 infection. However, further research is needed to understand the impact of multiple COVID-19 vaccines on the future risk of infection.

Simon-Makuch plot compares the cumulative incidence of COVID-19 for subjects stratified by the pandemic phase during which the subject's last prior COVID-19 episode occurred. Day zero was September 12 2022, the day the bivalent vaccine began to be offered to employees. Point estimates and 95% confidence intervals are jittered along the x-axis to improve visibility.

Limitations

The study has certain limitations. For example, individuals with previously unrecognized infections might have been misclassified, underestimating the bivalent vaccine's protective benefits. Additionally, those receiving the bivalent vaccine were more likely to get tested on symptom appearance, which leads to a disproportionate detection of infections.

Those who received the bivalent vaccine were also more likely to have lower risk-taking behavior concerning COVID-19. Furthermore, the availability of home testing kits might have reduced the detection of infections.

The current study was also unable to differentiate between symptomatic and asymptomatic infections, nor could the researchers determine the impact of the bivalent vaccine on the severity of infection. Notably, no children or immunocompromised individuals were included in the current study, which limits the generalizability of these findings.

Finally, the effect of the vaccine on strains whose antigens are not present within the vaccine is unknown.

 

This news article was a review of a preliminary scientific report that had not undergone peer-review at the time of publication. Since its initial publication, the scientific report has now been peer reviewed and accepted for publication in a Scientific Journal. Links to the preliminary and peer-reviewed reports are available in the Sources section at the bottom of this article. View Sources

Journal references:

Article Revisions

  • May 17 2023 - The preprint preliminary research paper that this article was based upon was accepted for publication in a peer-reviewed Scientific Journal. This article was edited accordingly to include a link to the final peer-reviewed paper, now shown in the sources section.
Suchandrima Bhowmik

Written by

Suchandrima Bhowmik

Suchandrima has a Bachelor of Science (B.Sc.) degree in Microbiology and a Master of Science (M.Sc.) degree in Microbiology from the University of Calcutta, India. The study of health and diseases was always very important to her. In addition to Microbiology, she also gained extensive knowledge in Biochemistry, Immunology, Medical Microbiology, Metabolism, and Biotechnology as part of her master's degree.

Citations

Please use one of the following formats to cite this article in your essay, paper or report:

  • APA

    Bhowmik, Suchandrima. (2023, May 17). Bivalent mRNA vaccine is moderately effective in preventing COVID-19. News-Medical. Retrieved on January 18, 2026 from https://www.appetitewellbeing.com/news/20221222/Bivalent-mRNA-vaccine-is-moderately-effective-in-preventing-COVID-19.aspx.

  • MLA

    Bhowmik, Suchandrima. "Bivalent mRNA vaccine is moderately effective in preventing COVID-19". News-Medical. 18 January 2026. <https://www.appetitewellbeing.com/news/20221222/Bivalent-mRNA-vaccine-is-moderately-effective-in-preventing-COVID-19.aspx>.

  • Chicago

    Bhowmik, Suchandrima. "Bivalent mRNA vaccine is moderately effective in preventing COVID-19". News-Medical. https://www.appetitewellbeing.com/news/20221222/Bivalent-mRNA-vaccine-is-moderately-effective-in-preventing-COVID-19.aspx. (accessed January 18, 2026).

  • Harvard

    Bhowmik, Suchandrima. 2023. Bivalent mRNA vaccine is moderately effective in preventing COVID-19. News-Medical, viewed 18 January 2026, https://www.appetitewellbeing.com/news/20221222/Bivalent-mRNA-vaccine-is-moderately-effective-in-preventing-COVID-19.aspx.

Comments

  1. CLARISSA MCDONALD CLARISSA MCDONALD United States says:

    I can't wrap my head around, however hard I try, why we ever began implementing, then mandating mRNA vaccines with so little understanding and practice, nor having any success at all prior?  And why is this mode, mRNA, still the only option after having such inconsistent, ineffective, if not completely dangerous results? Why have we abandoned the types that we have always used and have been proven to be truly safe and effective? Why are there no inactivated etc covid vaccines?  The mechanisms of action of the past vaccines are clear and consice to their function.  The mRNAs leave more questions unanswered than they make any sense.  So little is even understood about DNA in our cells as it is, let alone what could come about from changing them... why would we want to tell our DNA to make a virus from our cells?  Of the 10 different types of cells in our bodies, how does such a message act on each one? How does the mRNA vax happen to locate the "right" cell and the "right" amount of cells to change?  What is "right" in the first place?  What stops our DNA at making one virus cell after getting the message?  Who's to say it doesn't continue to manufacture virus cells from blood cells or stem cells?  What if more cells are turned to covid cells than are made to be what they are supposed to be?   Just soo many questions that no doctor I've spoken to can answer..they may be obvious to the experts but according to the Nuremberg code, I have a right to understand the experiments being tested on me.  And so does everyone else.  If they only knew...

  2. Adam Lorens Adam Lorens Spain says:

    The study concludes that:

    'The multivariable analyses also found that, the more recent the last prior COVID-19 episode was the lower the risk of COVID-19, and that the greater the number of vaccine doses previously received the higher the risk of COVID-19.'

    from: 'Bivalent vaccine effectiveness' section of the study. Somehow you do not mention the other 50% of the findings about how the more boosters the more infection rates. Also you conveniently posted one graphic and omitted the other one.

The opinions expressed here are the views of the writer and do not necessarily reflect the views and opinions of News Medical.
Post a new comment
Post

Sign in to keep reading

We're committed to providing free access to quality science. By registering and providing insight into your preferences you're joining a community of over 1m science interested individuals and help us to provide you with insightful content whilst keeping our service free.

or

While we only use edited and approved content for Azthena answers, it may on occasions provide incorrect responses. Please confirm any data provided with the related suppliers or authors. We do not provide medical advice, if you search for medical information you must always consult a medical professional before acting on any information provided.

Your questions, but not your email details will be shared with OpenAI and retained for 30 days in accordance with their privacy principles.

Please do not ask questions that use sensitive or confidential information.

Read the full Terms & Conditions.

You might also like...
New rapid test distinguishes real HIV infections from vaccine-related false positives