Study on the viral dynamics of Omicron and Delta infected individuals

During the coronavirus disease 2019 (COVID-19) pandemic, many federal governments around the world established isolation rules to prevent the transmission of the severe acute respiratory syndrome coronavirus 2 (SARS-CoV-2) from infected individuals to others. As isolation can have a significant impact on both the economy of a country and the mental health of its citizens, it is imperative to make efforts to reduce isolation periods while simultaneously preventing infectious individuals from spreading the disease.

Study: Viral dynamics of Omicron and Delta SARS-CoV-2 variants with implications for timing of release from isolation: a longitudinal cohort study. Image Credit: GoodStudio / Shutterstock.com

Study: Viral dynamics of Omicron and Delta SARS-CoV-2 variants with implications for timing of release from isolation: a longitudinal cohort study. Image Credit: GoodStudio / Shutterstock.com

This news article was a review of a preliminary scientific report that had not undergone peer-review at the time of publication. Since its initial publication, the scientific report has now been peer reviewed and accepted for publication in a Scientific Journal. Links to the preliminary and peer-reviewed reports are available in the Sources section at the bottom of this article. View Sources

In a recent study published on the preprint server medRxiv*, researchers from the Boston University School of Medicine examine the infectious periods in vaccinated individuals infected with the SARS-CoV-2 Omicron and Delta variants.

About the study

In the current observational cohort study, Boston University (BU) students and staff were enrolled after diagnosis with COVID-19 by a reverse transcription-polymerase chain reaction (RT-PCR) test. Participants completed an initial questionnaire and were then asked to perform daily symptom screens and anterior nasal swabs, with staff keeping records.

Some enrolled participants also opted into an antigen rapid diagnostic testing (RDT) study and were provided with three kits to self-test on days four to six after diagnostic and asked to provide a photograph of the test strip for staff to interpret the results. The obtained isolates were tested by RT-PCR using a two-target SARS-CoV-2 assay, whereas viral sequences were determined using the Illumina platform.

If diagnostic isolate sequencing was not available at the time of sampling, the variant determination was based on the timing of diagnosis. Alongside RT-PCR, 200 ul of each sample was incubated with Caco2 cells for four days, with the cells fixed and indirect immunofluorescence microscopy used to determine the presence of SARS-CoV-2 replication.

Demographic and clinical characteristics of participants infected with either the Delta or Omicron variant were compared based on culture positivity beyond day five, time to culture conversion, and duration of positive cultures. Scatter plots and fit mixed-effect models were used to assess the relationship between cycle threshold (ct) values and time since diagnosis/symptom onset, all of which were created by variant and vaccination status.

Generalized additive mixed models were used to perform curve fits and a cubic B-spline with four knots was used to incorporate Ct trajectories. Kaplan Meier plots were generated to look at the time for culture conversion for the whole cohort, as well as by variant and vaccination status. Median Ct values at diagnosis were compared using Wilcox non-parametric tests, and the sensitivity and specificity of the RDT device were compared to culture positivity on days four through 6.

Study findings

A total of 92 participants were enrolled in the study, 17 of whom were infected with the Delta variant and the remaining 75 were infected with the Omicron variants. Sixty-five of the participants were symptomatic at the time of diagnosis.

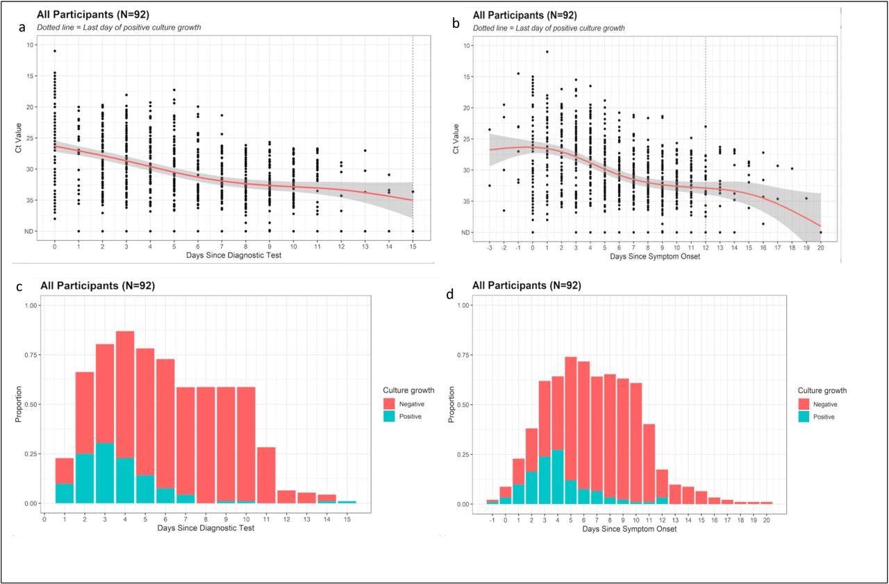
Progression of polymerase chain reaction N1 cycle threshold values from (a) diagnosis and (b) symptom onset, and culture growth from (c) diagnosis and (d) symptom onset.

Progression of polymerase chain reaction N1 cycle threshold values from (a) diagnosis and (b) symptom onset, and culture growth from (c) diagnosis and (d) symptom onset.

All participants had received at least two doses of a COVID-19 vaccine. Moreover, 32 Omicron-infected individuals had received a booster dose as compared to one Delta-infected individual.

About 84% of individuals who had received a positive test had seroconverted by day six as compared to 71% of individuals from symptom onset. Forty-four patients never had a culture-positive isolate.

The researchers then shifted the calculations to examine time from symptom onset rather than diagnosis, which slightly normalized the data. The mixed-effect model of viral decay within a host from symptom onset showed a plateau in the pre-symptomatic period as compared to a more gradual decline in the within-host viral load decay over time from diagnosis.

Both the Delta and Omicron variants showed no significant differences in time to viral culture conversion, with within-host viral decay trends being similar for both variants. Participants who had received a booster dose were more likely to show slower in-host viral decay; however, viral conversion rates were similar and Ct values were higher in boosted individuals who were infected with Omicron.

In the RDT medical device study, the sensitivity of the tests was 100% on days four through six and the specificity was 86%. All negative tests were negative in both cases, thus leading to a negative predictive value of 100% and a positive predictive value of 50%.

Kaplan-Meier curves indicating days from diagnosis to negative viral culture for all participants (a) and by SARS-CoV-2 variant and vaccination status (b).

Kaplan-Meier curves indicating days from diagnosis to negative viral culture for all participants (a) and by SARS-CoV-2 variant and vaccination status (b).

Conclusions

The current study demonstrates that in the majority of young, healthy, and vaccinated adults, the infectious period for SARS-CoV-2 is heavily limited, with only 17% remaining positive beyond five days. Furthermore, the Delta variant was found to be infectious for a longer duration as compared to the Omicron variant, with a median time to culture conversion of three and two days, respectively. 

When examining RDT medical devices, the negative predictive value was 100%; however, the positive predictive value could cause issues if these tests are used by individuals currently quarantined. Taken together, the findings from the current study could help inform public health policymakers on devising isolation rules.

This news article was a review of a preliminary scientific report that had not undergone peer-review at the time of publication. Since its initial publication, the scientific report has now been peer reviewed and accepted for publication in a Scientific Journal. Links to the preliminary and peer-reviewed reports are available in the Sources section at the bottom of this article. View Sources

Journal references:

Article Revisions

  • May 18 2023 - The preprint preliminary research paper that this article was based upon was accepted for publication in a peer-reviewed Scientific Journal. This article was edited accordingly to include a link to the final peer-reviewed paper, now shown in the sources section.
Sam Hancock

Written by

Sam Hancock

Sam completed his MSci in Genetics at the University of Nottingham in 2019, fuelled initially by an interest in genetic ageing. As part of his degree, he also investigated the role of rnh genes in originless replication in archaea.

Citations

Please use one of the following formats to cite this article in your essay, paper or report:

  • APA

    Hancock, Sam. (2023, May 18). Study on the viral dynamics of Omicron and Delta infected individuals. News-Medical. Retrieved on January 17, 2026 from https://www.appetitewellbeing.com/news/20220407/Study-on-the-viral-dynamics-of-Omicron-and-Delta-infected-individuals.aspx.

  • MLA

    Hancock, Sam. "Study on the viral dynamics of Omicron and Delta infected individuals". News-Medical. 17 January 2026. <https://www.appetitewellbeing.com/news/20220407/Study-on-the-viral-dynamics-of-Omicron-and-Delta-infected-individuals.aspx>.

  • Chicago

    Hancock, Sam. "Study on the viral dynamics of Omicron and Delta infected individuals". News-Medical. https://www.appetitewellbeing.com/news/20220407/Study-on-the-viral-dynamics-of-Omicron-and-Delta-infected-individuals.aspx. (accessed January 17, 2026).

  • Harvard

    Hancock, Sam. 2023. Study on the viral dynamics of Omicron and Delta infected individuals. News-Medical, viewed 17 January 2026, https://www.appetitewellbeing.com/news/20220407/Study-on-the-viral-dynamics-of-Omicron-and-Delta-infected-individuals.aspx.

Comments

The opinions expressed here are the views of the writer and do not necessarily reflect the views and opinions of News Medical.
Post a new comment
Post

Sign in to keep reading

We're committed to providing free access to quality science. By registering and providing insight into your preferences you're joining a community of over 1m science interested individuals and help us to provide you with insightful content whilst keeping our service free.

or

While we only use edited and approved content for Azthena answers, it may on occasions provide incorrect responses. Please confirm any data provided with the related suppliers or authors. We do not provide medical advice, if you search for medical information you must always consult a medical professional before acting on any information provided.

Your questions, but not your email details will be shared with OpenAI and retained for 30 days in accordance with their privacy principles.

Please do not ask questions that use sensitive or confidential information.

Read the full Terms & Conditions.

You might also like...
Long COVID linked to heavier periods and symptom flare-ups during menstruation