Study suggests shingles vaccine reduces the risk for COVID-19

People who get the shingles vaccine may have a lower risk of being diagnosed and hospitalized with coronavirus disease 2019 (COVID-19), according to a new medRxiv* preprint study. In about 150,000 people over the age of 50, vaccination for shingles was associated with a 32% reduced risk of severe COVID-19 infection.

This news article was a review of a preliminary scientific report that had not undergone peer-review at the time of publication. Since its initial publication, the scientific report has now been peer reviewed and accepted for publication in a Scientific Journal. Links to the preliminary and peer-reviewed reports are available in the Sources section at the bottom of this article. View Sources

The study results are correlational, and more research is needed to identify whether it is the shingles vaccine itself or other factors driving the lowered risk of COVID-19.

The researchers suggest the shingles vaccine may boost innate immunity — increasing the body’s cytokine levels and prepping an antiviral response against potential infections. In addition, innate immunity may help weaken severe acute respiratory syndrome coronavirus 2’s (SARS-CoV-2) ability to replicate during early infection.

Alternatively, people who are vaccinated for shingles may already be health-conscious and more proactive in getting vaccinated.

The COVID-19 vaccines continue to be the best form of protection against SARS-CoV-2.

Demographic information of vaccinated versus unvaccinated individuals

About 149,244 people were vaccinated with at least one dose of the recombinant adjuvanted zoster vaccine. A control group consisted of 298,488 unvaccinated individuals for comparison. About 16.2% of individuals were 50 to 59 years old, and 12.8% were over 80.

There were 57.8% of female participants, with over half describing themselves as non-Hispanic White.

Vaccinated individuals were more likely to have frequent outpatient medical visits before the pandemic and were associated with hypertension and having other vaccinations.

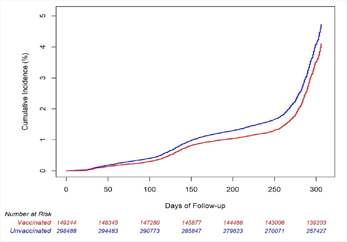
Cumulative incidence estimates of COVID-19 diagnosis by RZV (at least 1 dose) vaccination status
Cumulative incidence estimates of COVID-19 diagnosis by RZV (at least 1 dose) vaccination status

One dose of a shingles vaccine correlates with fewer COVID-19 diagnoses and hospitalization

Of the approximate 150,000 vaccinated individuals, there were 5,951 COVID-19 diagnoses and 1,066 COVID-19 related hospitalizations.

Individuals not vaccinated with at least one shingles vaccine dose reported more COVID-19 diagnoses. As a result, there were 13,028 COVID-19 cases, and 2,765 individuals required hospitalization for severe COVID-19 infection.

An additional analysis further confirmed lower incidences of COVID-19 and COVID-19 related hospitalization in vaccinated versus unvaccinated individuals.

One dose of the shingles vaccine correlated with a 16% reduced risk of a COVID-19 diagnosis. An association was also found between the shingles vaccine and a 32% lower rate for COVID-19 related hospitalization.

Two-dose vaccination for shingles is associated with a greater reduction in COVID-19 hospitalizations

Of the 94,895 individuals with two doses of the shingles vaccine, 3,403 were diagnosed with COVID-19 infection. Of those, 612 required hospitalization.

A cohort of 189,790 unvaccinated individuals was matched to individuals who received two vaccine doses. This group had 7,689 COVID-19 diagnoses and 1,676 COVID-19 related hospitalizations.

Results translated to a 19% reduced risk of COVID-19 infection in vaccinated individuals and a 36% reduced hospitalization rate.

Study limitations

Demographic and clinical data on individuals enrolled in the study was incomplete for several individuals. Some people failed to report BMI and smoking status, as these factors could increase a person’s risk of developing severe COVID-19 symptoms.

With any observational study, certain confounds cannot be controlled for in the study, including but not limited to health history, healthcare-seeking behavior, and more. However, the researchers attempted to minimize confounding effects by matching and comparing vaccinated individuals with unvaccinated individuals with shared attributes such as age, sex, race/ethnicity, zip code, and vaccination history.

“While this epidemiological study provides further evidence of the concept of trained innate immunity using the adjuvanted RZV vaccine, additional research is needed to identify and understand the underlying non-specific effects of RZV and other vaccines,” concludes the research team.

This news article was a review of a preliminary scientific report that had not undergone peer-review at the time of publication. Since its initial publication, the scientific report has now been peer reviewed and accepted for publication in a Scientific Journal. Links to the preliminary and peer-reviewed reports are available in the Sources section at the bottom of this article. View Sources

Journal references:

Article Revisions

  • Apr 29 2023 - The preprint preliminary research paper that this article was based upon was accepted for publication in a peer-reviewed Scientific Journal. This article was edited accordingly to include a link to the final peer-reviewed paper, now shown in the sources section.
Jocelyn Solis-Moreira

Written by

Jocelyn Solis-Moreira

Jocelyn Solis-Moreira graduated with a Bachelor's in Integrative Neuroscience, where she then pursued graduate research looking at the long-term effects of adolescent binge drinking on the brain's neurochemistry in adulthood.

Citations

Please use one of the following formats to cite this article in your essay, paper or report:

  • APA

    Solis-Moreira, Jocelyn. (2023, April 29). Study suggests shingles vaccine reduces the risk for COVID-19. News-Medical. Retrieved on January 18, 2026 from https://www.appetitewellbeing.com/news/20211005/Study-suggests-shingles-vaccine-reduces-the-risk-for-COVID-19.aspx.

  • MLA

    Solis-Moreira, Jocelyn. "Study suggests shingles vaccine reduces the risk for COVID-19". News-Medical. 18 January 2026. <https://www.appetitewellbeing.com/news/20211005/Study-suggests-shingles-vaccine-reduces-the-risk-for-COVID-19.aspx>.

  • Chicago

    Solis-Moreira, Jocelyn. "Study suggests shingles vaccine reduces the risk for COVID-19". News-Medical. https://www.appetitewellbeing.com/news/20211005/Study-suggests-shingles-vaccine-reduces-the-risk-for-COVID-19.aspx. (accessed January 18, 2026).

  • Harvard

    Solis-Moreira, Jocelyn. 2023. Study suggests shingles vaccine reduces the risk for COVID-19. News-Medical, viewed 18 January 2026, https://www.appetitewellbeing.com/news/20211005/Study-suggests-shingles-vaccine-reduces-the-risk-for-COVID-19.aspx.

Comments

The opinions expressed here are the views of the writer and do not necessarily reflect the views and opinions of News Medical.
Post a new comment
Post

Sign in to keep reading

We're committed to providing free access to quality science. By registering and providing insight into your preferences you're joining a community of over 1m science interested individuals and help us to provide you with insightful content whilst keeping our service free.

or

While we only use edited and approved content for Azthena answers, it may on occasions provide incorrect responses. Please confirm any data provided with the related suppliers or authors. We do not provide medical advice, if you search for medical information you must always consult a medical professional before acting on any information provided.

Your questions, but not your email details will be shared with OpenAI and retained for 30 days in accordance with their privacy principles.

Please do not ask questions that use sensitive or confidential information.

Read the full Terms & Conditions.

You might also like...
New rapid test distinguishes real HIV infections from vaccine-related false positives