The global outbreak of the severe acute respiratory syndrome coronavirus-2 (SARS-CoV-2) has led to the coronavirus disease 2019 (COVID-19) pandemic. As of August 25, 2021, SARS-CoV-2 has infected more than 214 million and claimed the lives of more than 4.4 million worldwide. Several COVID-19 vaccines have received emergency use authorization (EUA) from various global regulatory bodies, which have allowed vaccination programs to commence in many countries around the world.
Study: Can a vaccine-led approach end the NSW outbreak in 100 days, or at least substantially reduce morbidity and mortality? Image Credit: pumpyvector / Shutterstock.com

*Important notice: medRxiv publishes preliminary scientific reports that are not peer-reviewed and, therefore, should not be regarded as conclusive, guide clinical practice/health-related behavior, or treated as established information.
Zero community transmission of COVID-19 in Australia
A new policy goal of Australia is “zero community transmission of COVID-19.” To achieve this goal, an early and severe lockdown is being immediately implemented after the new COVID-19 outbreaks. Researchers believe that these efforts will ensure the rapid elimination of the virus from the community.
Since June 16, 2020, New South Wales (NSW) has been experiencing a surge in COVID-19 cases. As of early August, an average of 300 daily cases was reported, with an increase of 4% per day over the preceding fortnight.
Unlike many states or cities which implemented immediate stage 4-style lockdowns, the NSW government did not implement such a strategy. Instead, this government followed differential restrictions based on geographically varying intensity of COVID-19 cases. To this end, the first state-wide lockdown was implemented on August 14, 2021, which was accompanied by an increase in vaccination rates.
During its latest lockdown, the NSW government instead prioritized younger critical workers for vaccination. Although this government expects to relax these restrictions on August. 28, 2021; however, by that time most individuals under the age of 40 will still be unvaccinated.
A new study
A new study published on the medRxiv* preprint server evaluates the new COVID-19 policy implemented in NSW. The researchers of this study aimed to estimate the timeline to reach less than five COVID-19 cases per day, under 12 combinations of three different strengths of lockdown that included weak, moderate, and strong.
These predictions also included four vaccination roll-out settings. These include (a) as per the original vaccination plan, (b) prioritizing essential workers with Pfizer, (c) rapid vaccination of 25% of less than 60-year-old adults with AstraZeneca (AZ25), and (d) rapid vaccination of 50% of less than 60-year-old adults with AstraZeneca (AZ50). Another objective of this study was to predict the number of COVID-19 cases, as well as the rate of hospitalizations and mortalities 100 days after August 1, 2021, according to the aforementioned scenarios.
The authors of this study used an agent-based model to analyze the NSW COVID-19 situation that includes the circulation of the Delta variant. They claimed that this study primarily focused on predicting the probable patterns of infection across the community, instead of forecasting exact numbers of cases, hospitalizations, and deaths. The latter was reported by scenarios with wide uncertainty intervals.
In this study, the researchers used Monte Carlo simulations that consider stochastic uncertainty, as well as uncertainty in inputs, such as those on vaccine efficacy.
Study findings
The current study estimates that, as per the original vaccination plan, 50% of individuals over the age of 16 would be vaccinated by October 10, 2021. Comparatively, 70% and 80% of this patient population is expected to be vaccinated by November 21 and December 28 of this year, respectively. This timeline was reduced to October 1, October 30, and November 28 for the fastest (AZ50) rollout.
Additionally, this research revealed that a strong lockdown along with rapid vaccination could be the fastest approach to reach less than five COVID-19 cases per day, with a median of 78 days, by October 18, 2021. However, weak lockdown with no acceleration in the rate of vaccination will reach the goal in 207 days, or by February 24, 2022.
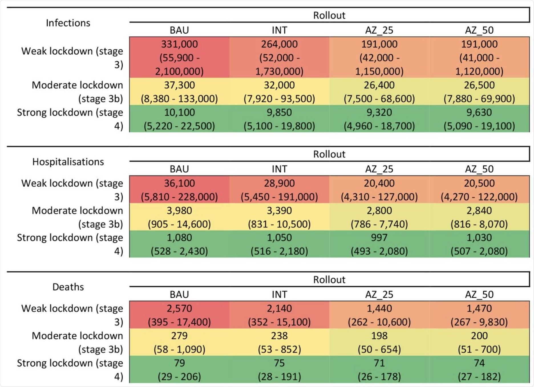
Interestingly, this study revealed that increased lockdown strength had a greater effect than an increase in the rate of vaccination. Researchers demonstrated in the AZ25 vaccination scenario, 1,440 COVID-19 cases were reported under a weak lockdown as compared to 71 cases under strong lockdown implementation.
Heatmaps of cases, in the first 100 days of each strategy (or cases are less than five per day is achieved first). Hospitalizations and death are those among infections in first 100 days, and therefore the total hospitalizations are those up to (roughly) 10 days beyond 100 days due to time lags, and deaths are two to three weeks after infections to allow for time lags. BAU: vaccine roll-out per the National Plan; INT: shifting all Pfizer to essential workers as a priority then back to BAU; AZ_25: prioritizing essential workers as in INT and vaccinating 25% of adults aged under 60 years with AstraZeneca; AZ_50: increasing to 50% the adults aged under 60 years vaccinated with AstraZeneca.
Conclusion
The authors of this study predicted that 70% of individuals who are older than 16 years of age and residing in NSW must be vaccinated to attain the goal of less than five COVID-19 cases in a day. A rapid vaccination rate is important to protect the population from COVID-19 infection, especially once the borders open for tourism. In the coming months, the strength of lockdowns will play an important role in reducing COVID-19 hospitalizations and deaths.
Based on the observations of the previous modeling studies as well as the current results, severe lockdown measures, such as stage 4 restrictions, for a longer time period could significantly reduce the number of COVID-19 cases. The new predictions have also included the Delta variant, which is more virulent than the original SARS-CoV-2 strain.
In conclusion, the authors emphasize the effectiveness of robust public health and social restrictions in reducing COVID-19 cases and hospitalizations, as compared to solely relying on an increase in vaccine rollout.

*Important notice: medRxiv publishes preliminary scientific reports that are not peer-reviewed and, therefore, should not be regarded as conclusive, guide clinical practice/health-related behavior, or treated as established information.