Even as vaccines continue to be rolled out in countries all over the world, in an attempt to contain the relentless march of the severe acute respiratory syndrome coronavirus 2 (SARS-CoV-2), new variants continue to emerge. Some of these have been named variants of concern (VOCs) as they show evidence of being more transmissible (that is, infecting a greater number of people per infected primary case) or of more resistance to neutralization by pre-existing antibodies induced by natural infection or by vaccination.
The rise of B.1.617.2
The researchers examined a series of cases in Singapore, all caused by the relatively new B.1.617.2 variant that has been observed in multiple global locations. The rapid increase in the proportion of new cases caused by this strain may be due to the shortening of the generation intervals, that is, the delay between one infection and a secondary infection.
Alternatively, the rapid spread might have been due to higher transmissibility, reflected in a higher effective reproduction number (or R number). Both may be in simultaneous operation.
The current study involved paired primary-secondary cases to determine the serial interval – the period from the onset of the primary to the onset of the secondary case. This analysis is important to distinguish the reasons for the rapid spread of a new variant.
In Singapore, genomic sequencing is carried out on all samples from the respiratory tract of coronavirus disease 2019 (COVID-19) patients who have tested positive for the virus by polymerase chain reaction (PCR) with a cycle threshold of 30 or less. This process led to the first identification of the B.1.617.2 variant in this country at the end of April 2021.
Even as strict mask use and social distancing continued to be implemented in the country, the new strain continued to pop up in infection clusters, some of which ballooned rapidly within a very short time.
Setting up cases and controls
To measure the serial intervals, the current study focused on the serial interval, which is a useful substitute for the generation interval, in 32 same-household primary-secondary case pairs. All such cases were reviewed to ensure that they were 1) infected by the B.1.617.2 variant (28/32 pairs), or 2) were picked up in the interval between April 27 to May 22, 2021, and were either not yet sequenced or could not be sequenced.
This period was selected because 97% of the samples sequenced during this time in this region were infected with the B.1.617.2 variant. To obtain accurate estimates, all secondary infections which had been exposed to multiple primary cases within the household were excluded. So were secondary cases outside the same household and secondary cases within the same household if they had different dates of onset.
These were matched with 63 primary-secondary household pairs in Singapore that occurred before the partial lockdown. All the primary cases had similar onset-to-isolation intervals as the primary cases in the test cohort, that is, a median of three days.
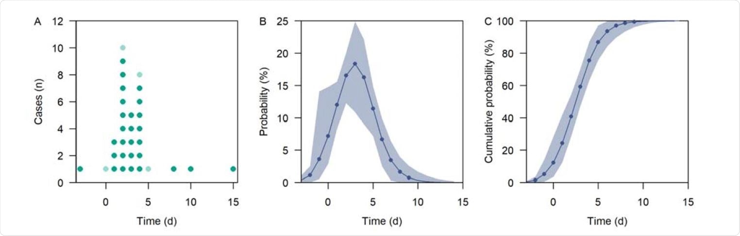
Serial interval of household transmission pairs. (a) B.1.617.2 cases (green) or cases identified between Apr 27 to May 22, 2021 and whose samples were yet to be sequenced (light green), (b) probability density function of serial interval of cases identified prior to the partial lockdown in Apr 7, 2020, (c) cumulative density function (b). Majority of the primary cases had known exposure(s) outside the household and secondary cases do not have the same exposure as the primary case thereby allowing us to identify the directionality of infection. Negative serial intervals, which signifies pre-symptomatic transmission are also included in the analysis.
The serial intervals for these pairs were calculated, and the mean serial interval was estimated by repeating the process a thousand times. This allowed them to arrive at a range of serial intervals for the earlier variants, but with the same onset-to-isolation interval as the new variant.
Findings and implications
The scientists found that the mode of the serial interval was 2.8 days for the pre-lockdown cases, but 2 days for the test cohort. This suggests that the serial interval did not change significantly with the newer variant.
This lends support to the hypothesis that the recent rapid growth is potentially driven by an increase in the average number of secondary cases generated by a case infected with the B.1.617.2 variant,” writes the team.
This type of study is essential in understanding the factors that underlie the rapid rise of the B.1.617.2 variant. In the absence of any evidence of reduced virulence in the case of this strain, but with a higher R value, it appears that stringent testing, contact tracing and isolation will continue to play a central role in containing the spread of the virus in the near future.

This news article was a review of a preliminary scientific report that had not undergone peer-review at the time of publication. Since its initial publication, the scientific report has now been peer reviewed and accepted for publication in a Scientific Journal. Links to the preliminary and peer-reviewed reports are available in the Sources section at the bottom of this article. View Sources