SARS-CoV-2 can be neutralized by UV-A and UV-B

While several severe acute respiratory syndrome coronavirus 2 (SARS-CoV-2) vaccines have made it possible to predict the eventual defeat of the COVID-19 pandemic, disinfection and prevention strategies remain essential factors in containing the spread of disease.

Since the end of the 1800s, Ultra-violet (UV) light has been widely documented for its germicidal properties. The UV-C light produced by low-pressure mercury tubes is widely used for disinfecting wastewater, closed environments, and biological products and is well-established, safe, and economical. UV light can have a germicidal effect on bacteria and viruses.

Due to the potential for UV rays to be used for virucidal effects, researchers from Italy have undertaken an in-depth analysis for this purpose, looking at discrete wavelengths such as UV-C (278 nm), UV-B (308 nm), UV-A (366 nm) and violet (405 nm) on the SARS-CoV-2 virus.

UV light

UV-C light can be seen as being important for depleting viral infections. However, while it has been shown to be highly sensitive to the severe acute respiratory syndrome coronavirus 2 (SARS-CoV-2) infection, the results are varied which may be due to the number of variables involved in the research.

Additionally, this strand of UV light, which is emitted by the sun, is actually blocked by the ozone layer in the stratosphere. However, UV-A and UV-B radiations do reach the earth’s surface with differing concentrations depending on factors such as the season, latitude, and weather conditions.

There has been much research into solar UV-A and UV-B radiation use against microorganisms as well as discussions of seasonal behavior in infectious diseases. This can be seen as significant as recent predictive models have suggested that the SARS-CoV-2 virus is solar-sensitive, which provides the researchers of this study a strong backing due to the missing data on possible virucidal effects of UV-A and UV-B light on SARS-CoV-2.

A pre-print version of their research paper is available on the medrxiv* server, while the article undergoes peer review.

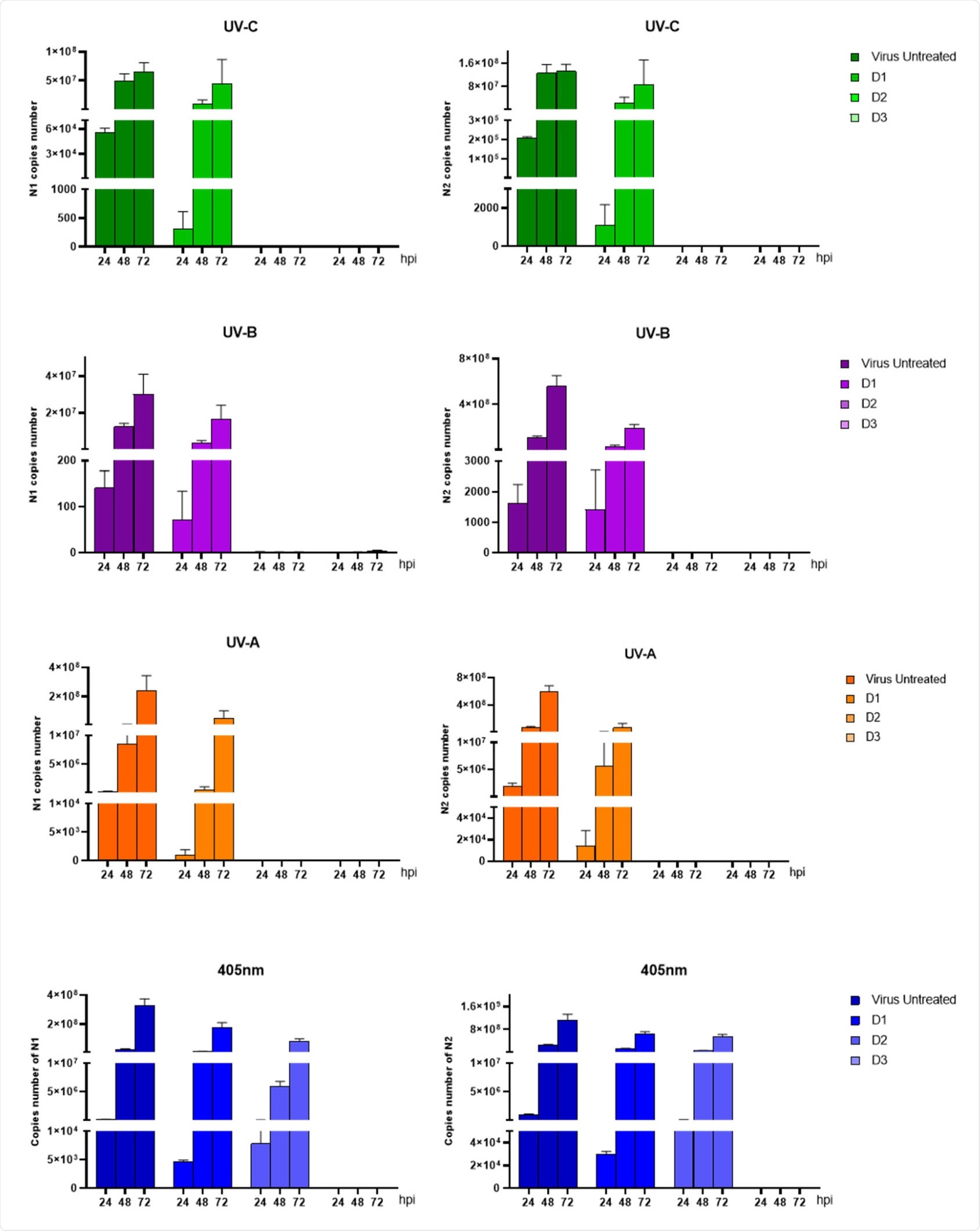
Viral replication of UV-irradiated SARS-CoV-2 (1,5x106 TCID50) in the supernatant of in vitro infected VeroE6 cells. Vero E6 cells were infected with SARS-CoV-2 irradiated with different doses (D1, D2, D3) of UV-A, -B, -C and violet light. Culture supernatants were harvested at the indicated times (24, 48 and 72 hpi) and virus titers were measured by absolute copy number quantification (Real-Time PCR). All cell culture conditions were seeded in quadruplicate. Mean values ±SEM are shown.
Viral replication of UV-irradiated SARS-CoV-2 (1,5x106 TCID50) in the supernatant of in vitro infected VeroE6 cells. Vero E6 cells were infected with SARS-CoV-2 irradiated with different doses (D1, D2, D3) of UV-A, -B, -C and violet light. Culture supernatants were harvested at the indicated times (24, 48 and 72 hpi) and virus titers were measured by absolute copy number quantification (Real-Time PCR). All cell culture conditions were seeded in quadruplicate. Mean values ±SEM are shown.

This news article was a review of a preliminary scientific report that had not undergone peer-review at the time of publication. Since its initial publication, the scientific report has now been peer reviewed and accepted for publication in a Scientific Journal. Links to the preliminary and peer-reviewed reports are available in the Sources section at the bottom of this article. View Sources

The study

The researchers utilized the process of irradiating the SARS-CoV-2 virus and then using the TCID50 approach to quantify the efficacy of different wavelengths in inactivating the virus.

Polymerase chain reaction (PCR) tests and fluorescence in-situ hybridization (FISH) measurements were also used to identify the UV-A and UV-B doses, which completely inhibited the viral concentration.

Specifically, the qPCR was used to evaluate the replicating ability of the irradiated virus, while FISH was used to quantify the ability of different UV doses to prevent the infectivity of the virus at a single-cell level.

The results were compared to the viral infection present in the sputum of COVID-19 patients as well as with previous literature on UV light used for other viruses and bacteria.

The data provided in the pre-print paper also confirm that UV-C is more effective in viral inactivation compared to UV-A and UV-B light, which can be useful for fast inactivation of the SARS-CoV-2 virus. Nevertheless, UV-A and UV-B are also able to reduce viral infections, but at higher doses than UV-C.

Significance for COVID-19

The scientists in Italy have provided more information on the effect that UV light has on the SARS-CoV-2 virus, with UV-C having a higher effect than previously thought.

UV-A and UV-B also have virucidal effects, however, the scientists were able to illustrate their effectiveness for the first time on the SARS-CoV-2 virus.

According to the researchers, the SARS-CoV-2 virus works seasonally, with a reduction in infection rates in the summer and a peak in the winter.  In the future, UV-A and UV-B doses may be used at higher levels to achieve similar disinfecting effects to UV-C, as well as more applications such as inactivating viruses.

With the COVID-19 pandemic ongoing, reducing viral transmission in any way possible is always advantageous for decreasing overall viral infection rates.

This news article was a review of a preliminary scientific report that had not undergone peer-review at the time of publication. Since its initial publication, the scientific report has now been peer reviewed and accepted for publication in a Scientific Journal. Links to the preliminary and peer-reviewed reports are available in the Sources section at the bottom of this article. View Sources

Journal references:

Article Revisions

  • Apr 8 2023 - The preprint preliminary research paper that this article was based upon was accepted for publication in a peer-reviewed Scientific Journal. This article was edited accordingly to include a link to the final peer-reviewed paper, now shown in the sources section.
Marzia Khan

Written by

Marzia Khan

Marzia Khan is a lover of scientific research and innovation. She immerses herself in literature and novel therapeutics which she does through her position on the Royal Free Ethical Review Board. Marzia has a MSc in Nanotechnology and Regenerative Medicine as well as a BSc in Biomedical Sciences. She is currently working in the NHS and is engaging in a scientific innovation program.

Citations

Please use one of the following formats to cite this article in your essay, paper or report:

  • APA

    Khan, Marzia. (2023, April 08). SARS-CoV-2 can be neutralized by UV-A and UV-B. News-Medical. Retrieved on January 17, 2026 from https://www.appetitewellbeing.com/news/20210602/SARS-CoV-2-can-be-neutralized-by-UV-A-and-UV-B.aspx.

  • MLA

    Khan, Marzia. "SARS-CoV-2 can be neutralized by UV-A and UV-B". News-Medical. 17 January 2026. <https://www.appetitewellbeing.com/news/20210602/SARS-CoV-2-can-be-neutralized-by-UV-A-and-UV-B.aspx>.

  • Chicago

    Khan, Marzia. "SARS-CoV-2 can be neutralized by UV-A and UV-B". News-Medical. https://www.appetitewellbeing.com/news/20210602/SARS-CoV-2-can-be-neutralized-by-UV-A-and-UV-B.aspx. (accessed January 17, 2026).

  • Harvard

    Khan, Marzia. 2023. SARS-CoV-2 can be neutralized by UV-A and UV-B. News-Medical, viewed 17 January 2026, https://www.appetitewellbeing.com/news/20210602/SARS-CoV-2-can-be-neutralized-by-UV-A-and-UV-B.aspx.

Comments

The opinions expressed here are the views of the writer and do not necessarily reflect the views and opinions of News Medical.
Post a new comment
Post

Sign in to keep reading

We're committed to providing free access to quality science. By registering and providing insight into your preferences you're joining a community of over 1m science interested individuals and help us to provide you with insightful content whilst keeping our service free.

or

While we only use edited and approved content for Azthena answers, it may on occasions provide incorrect responses. Please confirm any data provided with the related suppliers or authors. We do not provide medical advice, if you search for medical information you must always consult a medical professional before acting on any information provided.

Your questions, but not your email details will be shared with OpenAI and retained for 30 days in accordance with their privacy principles.

Please do not ask questions that use sensitive or confidential information.

Read the full Terms & Conditions.

You might also like...
Long COVID symptoms change for 15 months after infection