Study unveils SARS-CoV-2 persistence and contamination concentration on common surfaces

A recent environmental study from the United Kingdom, currently available on the bioRxiv* preprint server, shows that certain common surfaces could represent an infectious risk if contaminated with high concentrations of the severe acute respiratory syndrome coronavirus 2 (SARS-CoV-2) – albeit the level of viable viral particles is likely to be low.

This news article was a review of a preliminary scientific report that had not undergone peer-review at the time of publication. Since its initial publication, the scientific report has now been peer reviewed and accepted for publication in a Scientific Journal. Links to the preliminary and peer-reviewed reports are available in the Sources section at the bottom of this article. View Sources

The global pandemic of coronavirus disease 2019 (COVID-19), caused by SARS-CoV-2, was successful due to viral transmission via a number of different routes, including human contact with contaminated surfaces. People usually get contaminated either as a result of virus-containing droplets or by touch.

Consequently, molecular analytical approaches were used by many researchers to detect SARS-CoV-2 genetic material on various surfaces; however, a viable virus was rarely found. This means that the risk of infection from virus-contaminated surfaces is rather challenging to predict, invoking further studies to enhance our understanding of its survivability.

This new paper by UK researchers (led by Dr. Susan Elizabeth Paton from the Public Health England, National Infection Service in Wiltshire) aimed to appraise the viability of SARS-CoV-2 over a certain period after being dried onto a range of materials, but also to compare the viability of the virus to RNA copies recovered and observe its potential concentration dependence.

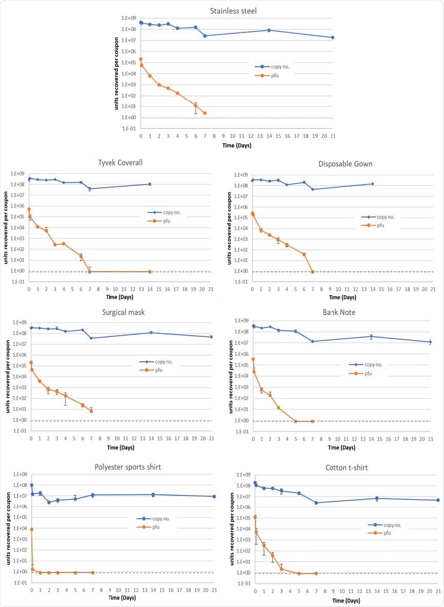
Mean quantities of viable virus recovered (pfu/coupon, orange) and viral RNA detected (genome copy number/coupon, blue), for 7 materials assessed. Error bars represent the standard deviation from three replicates. Grey dashed line represents the limit of detection of the plaque assay for the combined assays from the triplicate coupons (0.8 pfu/ml). For Tyvek coverall and disposable gown, 21 day coupons were not processed.
Mean quantities of viable virus recovered (pfu/coupon, orange) and viral RNA detected (genome copy number/coupon, blue), for 7 materials assessed. Error bars represent the standard deviation from three replicates. Grey dashed line represents the limit of detection of the plaque assay for the combined assays from the triplicate coupons (0.8 pfu/ml). For Tyvek coverall and disposable gown, 21-day coupons were not processed.

Inoculating common materials

In this study, the researchers decided to use surfaces representative of non-porous hand-touch sites (such as stainless steel) and banknotes (i.e., English polymer 10 GBP notes) and personal protective equipment items that are pervasive in the health care setting and the wider environment, such as layered surgical masks, disposable plastic gowns, and coveralls. This was supplemented by materials that represented clothing items, such as polyester sports shirts and cotton T-shirts. Coupons sized 1x1 cm of each material have been prepared.

The SARS-CoV-2 strain was initially isolated using Vero E6 cells (derived from the kidney of an African green monkey), and viral aliquots were defrosted to room temperature immediately before the inoculation of materials. The virus was recovered from the coupons, and a plaque assay was then conducted. RNA extraction and reverse transcription-polymerase chain reaction (RT-PCR) analysis have also been pursued.

When data analysis is concerned, each time point for every material coupon used had three biological replicates (i.e., individual coupons) and two technical replicates (i.e., plaque assay performed in duplicate).

Optimal stability on non-porous hydrophobic surfaces

This study demonstrated that the UK SARS-CoV-2 isolate could remain viable on hydrophobic surfaces for up to seven days. Its recoverable viability on hydrophilic surfaces is basically reduced to three days at relative humidity ambient temperature.

More specifically, viable virus persisted the longest on stainless steel and surgical mask material (more than 100 hours for 99.9% reduction in SARS-CoV-2 viability for both materials), while the fastest drop was observed on a polyester shirt (99.9% reduction in 2.5 hours), followed by cotton (99.9% reduction in 72 hours).

In any case, SARS-CoV-2 was most stable on non-porous hydrophobic surfaces, and viral RNA was very stable when dried on surfaces – with only one log reduction in recovery over three weeks. Still, it was shown that SARS-CoV-2 viability decreased much more rapidly, and such decay rate was independent of starting concentration.

Genetic material vs. viable virus

The study concludes that expected levels of viable SARS-CoV-2 environmental surface contamination lead to undetectable levels within two days. In other words, when viral genetic material (RNA) is detected on surfaces, it does not directly suggest the presence of a viable virus.

"This has implications for interpretation of surface sampling results using RT-PCR to determine the possibility of viable virus from a surface," caution study authors in this bioRxiv paper. "Unless sampled immediately after contamination, it is difficult to align RNA copy numbers to the quantity of viable virus on a surface", they add.

Future studies may address this current limitation, where the copy number is obtained for much lower concentrations of SARS-CoV-2 present on surfaces. Consequently, this will help identify whether the persistence of RNA is independent of viral concentration and elucidates the exact relationship to viable virus recovery.

This news article was a review of a preliminary scientific report that had not undergone peer-review at the time of publication. Since its initial publication, the scientific report has now been peer reviewed and accepted for publication in a Scientific Journal. Links to the preliminary and peer-reviewed reports are available in the Sources section at the bottom of this article. View Sources

Journal references:

Article Revisions

  • Apr 6 2023 - The preprint preliminary research paper that this article was based upon was accepted for publication in a peer-reviewed Scientific Journal. This article was edited accordingly to include a link to the final peer-reviewed paper, now shown in the sources section.
Dr. Tomislav Meštrović

Written by

Dr. Tomislav Meštrović

Dr. Tomislav Meštrović is a medical doctor (MD) with a Ph.D. in biomedical and health sciences, specialist in the field of clinical microbiology, and an Assistant Professor at Croatia's youngest university - University North. In addition to his interest in clinical, research and lecturing activities, his immense passion for medical writing and scientific communication goes back to his student days. He enjoys contributing back to the community. In his spare time, Tomislav is a movie buff and an avid traveler.

Citations

Please use one of the following formats to cite this article in your essay, paper or report:

  • APA

    Meštrović, Tomislav. (2023, April 06). Study unveils SARS-CoV-2 persistence and contamination concentration on common surfaces. News-Medical. Retrieved on January 17, 2026 from https://www.appetitewellbeing.com/news/20210315/Study-unveils-SARS-CoV-2-persistence-and-contamination-concentration-on-common-surfaces.aspx.

  • MLA

    Meštrović, Tomislav. "Study unveils SARS-CoV-2 persistence and contamination concentration on common surfaces". News-Medical. 17 January 2026. <https://www.appetitewellbeing.com/news/20210315/Study-unveils-SARS-CoV-2-persistence-and-contamination-concentration-on-common-surfaces.aspx>.

  • Chicago

    Meštrović, Tomislav. "Study unveils SARS-CoV-2 persistence and contamination concentration on common surfaces". News-Medical. https://www.appetitewellbeing.com/news/20210315/Study-unveils-SARS-CoV-2-persistence-and-contamination-concentration-on-common-surfaces.aspx. (accessed January 17, 2026).

  • Harvard

    Meštrović, Tomislav. 2023. Study unveils SARS-CoV-2 persistence and contamination concentration on common surfaces. News-Medical, viewed 17 January 2026, https://www.appetitewellbeing.com/news/20210315/Study-unveils-SARS-CoV-2-persistence-and-contamination-concentration-on-common-surfaces.aspx.

Comments

The opinions expressed here are the views of the writer and do not necessarily reflect the views and opinions of News Medical.
Post a new comment
Post

Sign in to keep reading

We're committed to providing free access to quality science. By registering and providing insight into your preferences you're joining a community of over 1m science interested individuals and help us to provide you with insightful content whilst keeping our service free.

or

While we only use edited and approved content for Azthena answers, it may on occasions provide incorrect responses. Please confirm any data provided with the related suppliers or authors. We do not provide medical advice, if you search for medical information you must always consult a medical professional before acting on any information provided.

Your questions, but not your email details will be shared with OpenAI and retained for 30 days in accordance with their privacy principles.

Please do not ask questions that use sensitive or confidential information.

Read the full Terms & Conditions.

You might also like...
Azelastine nasal spray prevents COVID-19 and rhinovirus infections