Over the coming months, SARS-CoV-2 vaccine candidates may become available to the general public. Hundreds of vaccines are currently under clinical evaluation, with ten in the last phase of clinical trials. Though the results of initial investigations on the efficacy and safety of some vaccines are promising, many people are still reluctant to get vaccinated.
A new study by researchers at the Stanley Manne Children's Research Institute at the Northwestern University Feinberg School of Medicine and the Vanderbilt University Medical Center has found that an alarming amount of parents in the United States say they are unlikely to vaccinate their children or themselves against the coronavirus disease (COVID-19), caused by the severe acute respiratory syndrome (SARS-CoV-2).
The study, which appeared on the pre-print server medRxiv*, aimed to determine the parents' likelihood of immunizing their children amid the coronavirus pandemic.
The study
Vaccination plays an imperative role in mitigating transmission risks of viral and bacterial diseases in the community. Throughout history, vaccines helped reduce the risk of being infected or developing severe complications caused by the infection.
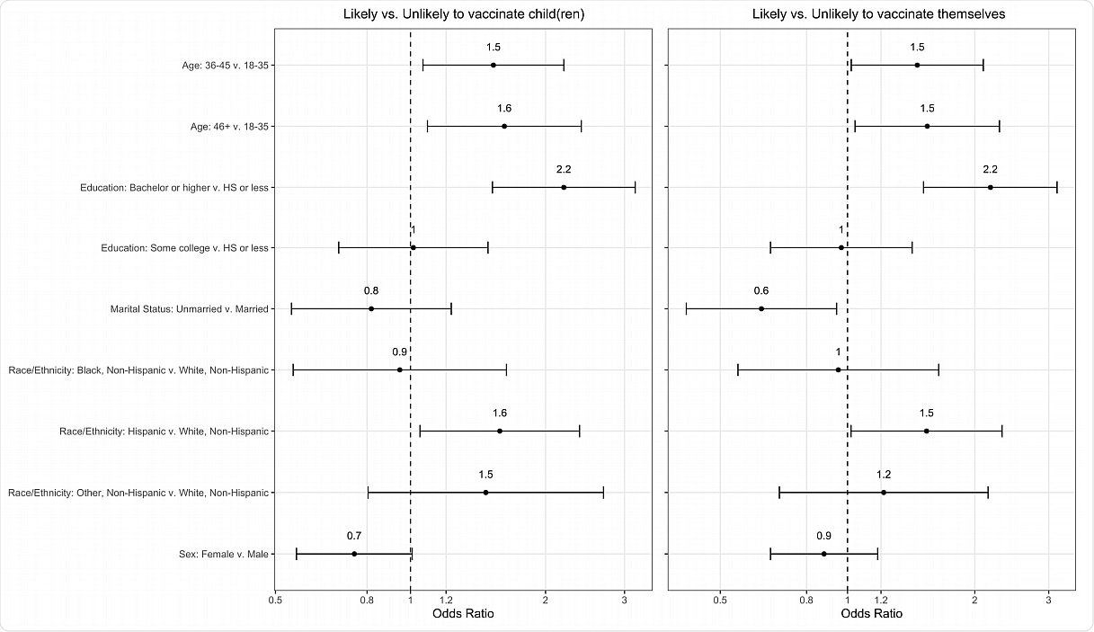
To determine if parents are willing to get the vaccines for their children and themselves, the researchers assessed the factors tied to the parents' odds to vaccinate themselves and their kids.
The national household survey spanned between June 5 and 10, 2020. The team asked the parents two-vaccination-specific questions, 1. if they would vaccinate themselves, and 2. if they would vaccinate their children once a vaccine became available.
Multivariable models of association of sociodemographic factors with parents’ likelihood of vaccinating their child(ren) a themselves against COVID-19.

*Important notice: medRxiv publishes preliminary scientific reports that are not peer-reviewed and, therefore, should not be regarded as conclusive, guide clinical practice/health-related behavior, or treated as established information.
What the survey found
Overall, 63 percent of parents were likely to vaccine their children against COVID-19, while 60 percent said they were likely to get vaccinated themselves.
Parents who are younger and have lower educational attainment were more hesitant to get the vaccine.
"Greater hesitancy regarding childhood vaccines is also commonly associated with less education among parents, often related to strong belief systems regarding risks of disease versus risks of inoculation," the researchers explained.
"Addressing parents' hesitancy to vaccinate themselves and their children against COVID-19 will likely be essential to achieve herd immunity. Working with parents to understand personal reasons for hesitancy will help facilitate uptake when safe and effective vaccines to prevent COVID-19 become available," the team added.
Parents must become aware of the benefits of getting vaccines against various infections, including COVID-19.
Many health experts believe that if more people get vaccinated against SARS-CoV-2, herd immunity could be achieved, leading to fewer cases and deaths tied to COVID-19 in the future.
Who should get vaccinated first?
In anticipation of vaccines for SARS-CoV-2 becoming available, the World Health Organization (WHO) and many governments are contemplating prioritizing and allocating them properly.
Since several SARS-CoV-2 vaccines are already in the last phase of clinical trials, it is essential to determine whom to vaccinate first. A team of researchers at the University of Oxford explored two potential options – vaccinating the elderly or children first.
To reduce the death rate quickly, if there is a limited vaccine supply, immunizing older adults and those at high risk of severe COVID-19 is thought to be the best option. However, the researchers noted that if more vaccines become available, the goal is returning to normal where people can mix without elevated risk. If the vaccines are not very effective in the elderly, it will be important to vaccinate as many people as possible, including younger children.
Older adults may face the problem of vaccines not working efficiently. As a person grows old, the immune system declines, making them less able to induce an efficient and protective immune response after vaccination.
If the purpose is to return to normal, it is imperative to prevent community transmission. By vaccinating young people, who are known to be 'super spreaders,' they could mitigate viral transmission. Also, younger people respond better to vaccines as they mount a more robust immune response. As more children and younger people get vaccinated, they could help protect older and high-risk people because the virus would be less likely to reach them.

*Important notice: medRxiv publishes preliminary scientific reports that are not peer-reviewed and, therefore, should not be regarded as conclusive, guide clinical practice/health-related behavior, or treated as established information.