UK researchers say the proportion of people testing positive for severe acute respiratory syndrome coronavirus 2 (SARS-CoV-2) significantly declined in England between 26 April and 28 June 2020.
Reporting on initial results from the Office of National Statistics Coronavirus Infection Survey, the team says the proportion of people testing positive by throat and nose swab fell from around one in 300 to one in 1,000 over the two months.
“This adds to the increasing body of empirical evidence and theoretical models that suggest that the lockdown imposed on 23 March 2020 had its intended effect,” write Koen Pouwels (Nuffield Department of Population Health, University of Oxford) and colleagues.
The researchers say the results can be used to directly inform policymakers faced with the difficult challenge of deciding whether to continue or relax measures taken to contain the spread of the virus.
Importantly, Pouwels and colleagues warn that many of the people who did test positive were asymptomatic and that working outside of the household was a significant risk factor.
This indicates the importance of continued community monitoring for the early detection of any increases in infection rates as people return to work and other measures are relaxed, they say.
A pre-print version of the paper is available on the server medRxiv*, while the article undergoes peer review.
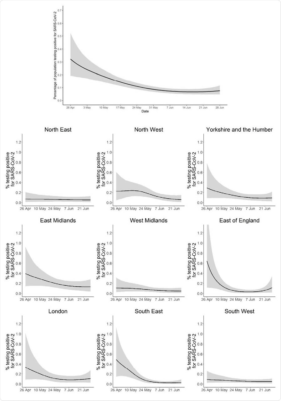
Percentage of population testing positive for SARS-CoV-2 over time. (Top) In England. (Bottom) Within the nine regions of England. Credible intervals are truncated at 1.35% to ensure all regional plots are on the same scale.
Policymakers need accurate surveillance data
Since the coronavirus disease 2019 (COVID-19) outbreak first began in Wuhan, China, late last year, many governments have implemented unprecedented control measures to help curb the spread of SARS-CoV-2.
The mass surveillance data used to monitor the effectiveness of such measures have mostly been based on sources such as hospital admissions, self-reported symptoms, and death registries, all of which do not directly measure the community prevalence of SARS-CoV-2.
Estimated epidemic growth rates within England and its nine regions, shown as posterior median and 25-75th percentiles. Growth rates are related to doubling (positive weeks) and halving (negative weeks) times.
The policymakers and experts who advise governments about the continued need for social distancing rely on accurate and up-to-date information on the incidence and prevalence of SARS-CoV-2, say the researchers.
“While an uncontrolled epidemic has potentially even more drastic consequences, politicians have to continuously make the difficult decision between continuing strict control measures or relaxing them in some way that would be safe enough in medical terms yet beneficial more broadly across society,” writes the team.
The Office of National Statistics (ONS) Coronavirus Infection Survey (CIS)
The ONS-CIS is a repeated cross-sectional national survey that collects throat and nose swab data from 34,992 participants aged 2 years and older across 16,722 residential households in England. Information about any symptoms and risk factors is also gathered. The data for this pilot phase were collected between 26 April and 28 June.
The survey found that the proportion of people testing positive for SARS-CoV-2 fell from 0.32% on 26 April to 0.08% on 28 June.
The authors say the result suggests “that the lockdown imposed on 23 March 2020 had its intended effect.”
Risk factors associated with testing positive included having a job with direct patient contact (a 4.06-fold increased risk) and working outside of the home (a 2.49-fold increased risk). Having personally visited a hospital was associated with a 2.2-fold increased risk, and a household member having visited hospital was associated with a 1.95-fold increased risk.
“Continued monitoring for SARS-CoV-2 in the community will be important”
Notably, a significant proportion of people who tested positive for the virus were asymptomatic.
Of 133 individuals who tested positive, 82 (61%) reported no symptoms on the day the swab was taken, as well as no symptoms one week before or after it was taken.
“A substantial proportion of infections were in individuals not reporting symptoms, indicating that continued monitoring for SARS-CoV-2 in the community will be important for potential early detection of increases in infections due to return to work and other relaxations of control measures,” warn the researchers.
“This national survey, collecting throat and nose swabs and accompanying data from individuals in households across England, estimates the prevalence and incidence of SARS-CoV-2 in the community in England, and hence directly informs decisions about continued need or relaxation of COVID-19 related control measures,” they conclude.

This news article was a review of a preliminary scientific report that had not undergone peer-review at the time of publication. Since its initial publication, the scientific report has now been peer reviewed and accepted for publication in a Scientific Journal. Links to the preliminary and peer-reviewed reports are available in the Sources section at the bottom of this article. View Sources
Journal references:
- Preliminary scientific report.
Pouwels K, et al. Community prevalence of SARS-CoV-2 in England: Results from the ONS Coronavirus Infection Survey Pilot. medRxiv 2020. doi: https://doi.org/10.1101/2020.07.06.20147348
- Peer reviewed and published scientific report.
Pouwels, Koen B, Thomas House, Emma Pritchard, Julie V Robotham, Paul J Birrell, Andrew Gelman, Karina-Doris Vihta, et al. 2021. “Community Prevalence of SARS-CoV-2 in England from April to November, 2020: Results from the ONS Coronavirus Infection Survey.” The Lancet Public Health 6 (1): e30–38. https://doi.org/10.1016/s2468-2667(20)30282-6. https://www.thelancet.com/journals/lanpub/article/PIIS2468-2667(20)30282-6/fulltext.