Nobody will deny the rising tide of obesity in childhood. It is as regularly the subject of reports in the media as it is in the medical journals. It is a recent phenomenon and is worsening, with an estimated three-fold increase in the prevalence of obesity over the last generation. Depending upon the criteria used to define obesity, nearly 30% of British girls are now overweight at five years, and some 10% of them frankly obese. While some European countries, such as France, show a lesser incidence of obesity, gradients of increase are much the same around the industrialised world. Whether measured by weight alone, body mass index (BMI: kg/m2) or waist circumference, children - and most particularly girls - are crossing upwards through centiles based onUK reference curves established little more than a decade ago.
The issues surrounding weight excess in children are not merely cosmetic. Excess body fat, most particularly visceral fat, is associated with insulin resistance, which leads to a progressive rise in blood sugar. The islet cells, which produce insulin, are exquisitely sensitive to changes in blood glucose, and the rise in blood sugar resulting from insulin resistance leads to an increase circulating insulin. For decades, the relationship between insulin and glucose was looked upon as one which threatened only diabetes, but the last 15 years have brought new insights which reveal just how profound are the effects of high insulin levels on a wide variety of metabolic systems. Thus, cholesterol, triglycerides, ovulation, blood pressure, viscosity and coagulability are all disturbed adversely when the blood insulin level rises. In combination, these disturbances are termed the metabolic syndrome, currently the greatest threat to health in the industrialised world, out-pacing smoking-related disorders, trauma and cancers. Metabolic syndrome is nowadays the one condition most responsible for premature death in the industrialised world, and it can be attributed very largely to obesity.
Appetite Body weight is highly regulated. At its simplest, it reflects the cumulative balance between calories consumed and calories expended. Appetite is regulated by a neuro-humeral network, centred on the hypothalamus, sometimes referred to as the 'appestat'. If intake is not matched by a corresponding change in energy expenditure, a deviation of only 2% will lead to obesity over a short number of years.
Energy expenditure is made up of three components - resting energy expenditure, which is fixed, thermic response to feeding and free-living energy expenditure which is voluntary.
Given the sophisticated mechanisms that have evolved to regulate appetite, it would be surprising if corresponding mechanisms had not evolved to regulate physical activity.
This review of published data explores the evidence for regulation of physical activity in primary school children. The data derives largely from studies of healthy children carried out in the SW of England.
The EarlyBird Study
EarlyBird is a non-intervention prospective cohort study that asks the question 'Which children develop insulin resistance, and why?' It is unique in taking serial blood samples from a young age with which to monitor, serially, the behaviour of insulin resistance and its impact on health. It focuses on the natural evolution of insulin resistance in a cohort of healthy children, monitored from school entry to the age of 16.
Its aim is to identify the process that leads some, but not others, to develop diabetes and the metabolic syndrome. There are three key issues that surround the rising threat of metabolic disease - at what stage of life does insulin resistance emerge, what is the role of life-style factors and which component of insulin resistance is genetic?
There is a prevalent view that the answers are already known - that children eat too much of the wrong food, that they undertake too little physical activity and that a poor gestational e n v i r o n m e n t programmes the genetically susceptible for a lifetime of insulin resistance.
In reality, there is little information on the development of insulin resistance in children. Innumerable cross sectional studies have been conducted on the associations between birth weight, BMI and insulin resistance. Few, however, have studied the relationships prospectively in a large cohort, and none has obtained serial blood samples from such a young age with which to investigate the impact of body composition, fat distribution, dietary habits, energy expenditure and physical activity on insulin resistance and its metabolic correlates.
Random sample
The EarlyBird Study comprises of a random sample of the 1995/1996 Plymouth birth cohort and their parents. The 54 of 71 Plymouth Primary Schools that consented were stratified into quartiles according to their proportion of free school meal entitlement, as a socio-economic proxy, and a random selection made from each accordingly. With the parents' written consent and the children's assent, a total of 307 children (137 girls, 170 boys, mean age 4.9 years) who started school between January 2000 and January 2001 became the EarlyBird cohort. The protocol has been detailed elsewhere.
Physical activity is assessed annually in the EarlyBird cohort by the use of electronic accelerometers. We chose the MTI accelerometer (MTI, Fort Walton, Florida), which samples movement 600 times a minute in the vertical plane and integrates the data into one minute epochs, storing it on a chip which can be downloaded at the end of the sampling period. The accelerometer records clock time, intensity and duration of movement.
Such accelerometers are precise, and correlate well with activity-related energy expenditure measured by room respiration calorimetry (r=c.0.70). The accelerometers record continuously throughout a seven-day period, but it is possible to identify the waking time from the first recorded activity on the accelerometer in the morning to the last recorded at night.
This report explores the patterns of physical activity of the EarlyBird children at school, at weekends, from year to year and during the 'school run'.
The Three Schools Study
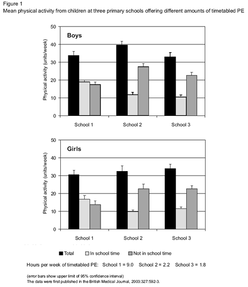
An independent study within the EarlyBird Programme was carried out to assess the impact of different provision for physical education within schools.11 Two hundred and fifteen healthy children (120 boys and 95 girls aged 7.0 - 10.5y, mean 9.0 years) from three schools with widely different curricular opportunity for physical education were tested. School 1, a private preparatory school with some boarding pupils, had extensive facilities and 9.0 hours a week of physical education in the curriculum. School 2, a village school awarded Activemark gold status for its focus on physical activity, offered 2.2 hours of timetabled physical education a week. School 3, an inner city school with no particular provision, offered 1.8 hours of physical education a week. Analysis of variance was used to compare means between schools and the least significant difference p-values are quoted. The study was conducted to establish whether the provision of physical education in the curriculum makes a significant difference to a child's overall weekly activity.
Results
Variation in Physical Activity over Time
Despite substantial differences in the structure of work days compared with weekend days, adults are remarkably consistent in the amount of daily physical activity they undertake when comparing the two (WK 1.8144 v WE 1.8135 PAL units by HR monitoring, p=0.98, r=0.69 p<0.01).
Although the variance in activity among the EarlyBird children was greater at weekends, the mean activity, whether weekday or weekend day, was the same (538 v 530 x103 counts p=0.53).
More importantly, the correlation between school day and weekend day activity, which reflects consistency, was not dissimilar in the children from that seen in adults (r=0.52 for girls, r=0.51 for boys, p< 0.001). The year-on-year correlation in seven-day physical activity measured at 4.9y and again at 5.9y was as strong (r = 0.49 for girls, r = 0.55 for boys, p< 0.001).
Comparison between Locations
EarlyBird children at 5.9 years were compared with a cohort of children from Glasgow, mean age 5.8, whose physical activity over a seven-day period was recorded in an independent study using similar MTI accelerometers.13 Overall, the mean daily activity recorded in these two very different locations was identical (Glasgow: 534 v Plymouth: 534 x 103). The Glasgow girls, like those in Plymouth, were less active than the boys, and to the same degree - the gender difference was systematic.
Impact of curricular provision on physical activity
As expected, the more privileged children in school 1 (School 1) undertook more than twice as much physical activity as those in schools 2 (School 2) or 3 (School 3), suggesting that good use was made of the extra provision. After school, however, children from School 2 and School 3 undertook more than twice the activity than those from School 1. As a result, the total physical activity in the three groups was no different (Figure 1).

Further analysis suggested that there was also no difference in the intensity of physical activity between children from the three schools (p>0.1, data not shown). Thus, while there was a wide variation in total physical activity within each of the three schools, there was little variation between them, despite a substantial difference in provision. Indeed, only 3% of the variance in physical activity could be accounted for by the school environment. What children lacked in school, they made up for out of school.
Driven to school
Wetook this investigation a step further by comparing the physical activity of children who were driven to school with those who were not.14 We did this for two reasons - first the extensive promotion of the 'walking bus' as a useful measure to combat obesity and second, to further test the 'compensation theory' of childhood activity. Accordingly, we compared the physical activity counts recorded by the one-third of the EarlyBird children at the age of seven years who were driven to school, with those of the two-thirds who walked. In order to ensure that all activity undertaken during the school journey time was captured, we summed all activity counts recorded between 8 - 9 am in the morning and between 3 - 4 pm in the afternoon. The median distance from home to the neighbourhood school was 700 meters (based on RAC internet data) and the median journey time by foot around six minutes (parental report). The mean activity cost of being driven to school was 75 x 103 accelerometer counts, equivalent to a 16% difference in energy expenditure between walkers and non-walkers over the 10 hours deemed to be 'journey time' in a week. However, the difference between walkers and non-walkers was reduced to just 4 x 103 activity counts or 0.1% (p=0.97) for the week as a whole. One reason could have been the statistical 'noise' attributable to the small differences between walkers and non-walkers compared with the activity of the whole week. A more intriguing possibility was compensation at other times of the week for the 'activity cost' of being driven to school, much as occurred because of timetabling constraints in the Three Schools Study. Accordingly, we analysed the activity counts recorded outside the school journey time by the walkers and non-walkers, and found that 68 x 103 counts, amounting to 91% of the cost, could be made up or 'recovered'.
Discussion
The data reviewed here are consistent with the central regulation of physical activity in young children. While there is a five-fold variation between children, there is remarkable consistency within them. The child who is inactive at school is inactive at the weekend and does not change year-on-year. The child who lacks opportunity for physical activity during school hours makes up for it after school. Every parent and teacher recognises the energy released by children who have been cooped up for a period of time, but the exquisite precision with which overall activity is controlled has not been reported before. Even the small physical activity cost of being driven to school is compensated for with extreme precision at other times of the day. And primary school children, regardless of where they live, record as a group, identical levels of physical activity. Such perspectives are emerging for the first time now only because accelerometers are providing the first objective measurement of physical activity in children.
Central appetite control - the so-called 'appestat' - is an accepted concept, and the presence of a corresponding mechanism to control energy expenditure seems intuitively likely, but has never been demonstrated. Although we have no idea what signals might control physical activity, it would seem intrinsically important for energy expenditure to be somehow linked to energy intake. It is the balance between the two, rather than the amount of either one, that is crucial to the control of body mass.
It is important to emphasise that we are concerned here with physical activity, and not physical fitness. Cardio-respiratory fitness is a measure of metabolic efficiency, and much of it is genetically determined.
Physical activity can undoubtedly improve physical fitness during intervention programmes, but there is little evidence that the habitual activity patterns of children are sufficient to alter their physical fitness.
Children’s activity and socio-economic status
The findings reported here have potentially important implications. Concern for the loss of primary school playing fields to housing construction during the 1980's led to a report from Sport England in 2000 which predicted that those of lowest socio-economic status would suffer most as a result.16 We have been unable to confirm this prediction. Children from an inner city school recorded the same total amount of physical activity as those from a fee-paying private school offering more than 100 acres of playing fields and timetabled opportunity for physical education that it would be difficult to better.
Less than three percent of the variance in physical activity undertaken by primary school children was attributable to differences in their school environment. By implication, 'improving' the school environmentmaynot improve the physical activity and fitness of children.
The evidence at present suggests that neither better facilities, nor an increase in the amount of time allocated to PE to four hours a week (as recently proposed by the Government), will improve physical activity levels in children as a whole and thereby impact on the rising tide of obesity. It may be more important to understand the mechanisms that determine the variation in 'set-point' in children. Shifting the set-point upwards in those who habitually undertake little activity may be the only means of modifying energy expenditure, and thereby improving energy balance.
Very importantly, the observations reported here are restricted to measurements of activity, and do not take account of other benefits that might accrue from physical exercise. There can be little doubt that reducing the number of cars on the road by encouraging children to walk to school would be beneficial to society as a whole, and that participation in sporting activities offers the opportunity to develop self-reliance, self-confidence and the skills of leadership and team work. Not all children, however, participate, and the issue remains as to what extent children of habitually low activity can be encouraged to exceed a threshold, which in the free-living state they adhere to with remarkable consistency.
Click here for more information