Rhodiola Rosea: Evidence-Based Health Benefits and Clinical Insights

Introduction
Botanical background and traditional uses
Mechanisms of action
Scientific evidence of health benefits
Safety, dosage, and side effects
Limitations and areas for further research
Conclusion
References
Further reading


Rhodiola rosea, an adaptogenic herb with a long tradition of medicinal use, has demonstrated evidence-based benefits in reducing stress, fatigue, and improving cognitive and physical performance. While generally safe and fast-acting, its clinical utility is limited by variable product quality and a lack of robust long-term research.

Rhodiola rosea, commonly called ‘golden root’ or ‘Arctic root’  Image Credit: kostrez / Shutterstock.com Rhodiola rosea, commonly called ‘golden root’ or ‘Arctic root’. Image Credit: kostrez / Shutterstock.com

Introduction

Commonly called ‘golden root’ or ‘Arctic root,’ Rhodiola rosea is an adaptogenic herb with an ancient history of medicinal use across Europe and Asia. Traditionally used to enhance stamina, as well as combat physical and mental fatigue, Rhodiola is gaining popularity in modern integrative medicine and wellness culture.

This article reviews recent scientific evidence supporting the health benefits of Rhodiola, its mechanisms of action, possible side effects, and current limitations.

Botanical background and traditional uses

Rhodiola is an herb that ranges in size from five to 40 cm. Typically, Rhodiola grows in cold, mountainous regions such as Siberia, the Himalayas, and northern Europe. Rhodiola has been used in several traditional medicine systems, including Russian, Scandinavian, and Traditional Chinese Medicine, for thousands of years to treat fatigue, anxiety, and altitude sickness.1

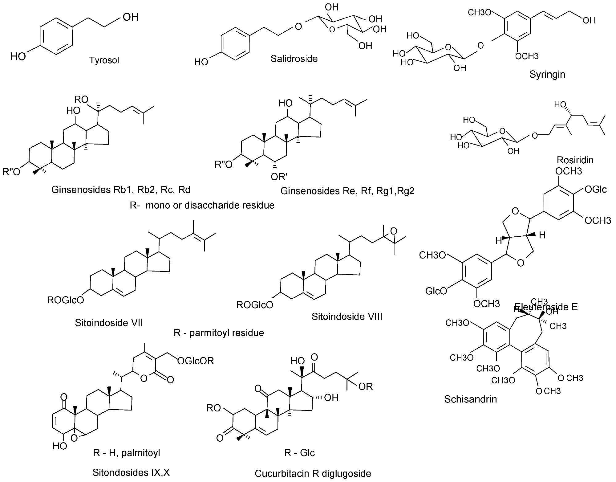
Rosavins are considered the primary adaptogenic compounds within Rhodiola that normalize stress responses. Salidroside, another active compound present in Rhodiola, also contributes to the plant’s antioxidant and neuroprotective effects.2 Most standardized extracts contain at least 3% rosavins and 1% salidroside to ensure consistency.

Active compounds isolated from Rhodiola rosea (tyrosol, salidroside, rosiridin), Eleutherococcus senticosus (eyringin, eleutheroside E), Schisandra chinensis (schizandrin), Panax ginseng (ginsenosides), Withania somiphera (sitoindosides), Bryonia alba (cucurbitacin R glucoside).1Active compounds isolated from Rhodiola rosea (tyrosol, salidroside, rosiridin), Eleutherococcus senticosus (eyringin, eleutheroside E), Schisandra chinensis (schizandrin), Panax ginseng (ginsenosides), Withania somiphera (sitoindosides), Bryonia alba (cucurbitacin R glucoside).1

Mechanisms of action

Rhodiola primarily exerts its effects through dose-dependent modulation of the hypothalamic-pituitary-adrenal (HPA) axis, which regulates the serum levels of stress hormones, such as cortisol. To this end, Rhodiola extracts have been shown to reduce elevated cortisol levels and support a balanced stress response, thereby accelerating the body’s natural return to homeostasis.1

Rhodiola enhances the activity of neurotransmitters, including serotonin, dopamine, and norepinephrine, which may contribute to its mood-lifting activity and impact on focus and energy.3 Rhodiola also exhibits antioxidant and anti-inflammatory properties by reducing cellular damage from oxidative stress.4

Rhodiola Rosea, Tonic Stress Buster for Modern Times

Scientific evidence of health benefits

Stress and fatigue reduction

In a randomized controlled trial of 60 patients with stress-related fatigue, those who consumed 576 mg/day of Rhodiola extract experienced a 30% reduction in fatigue symptoms after four weeks, compared to controls using equivalent placebo dosages.5 Similar observations were reported among a cohort of 100 nursing students during exams, as Rhodiola extract consumption improved alertness, reduced mental fatigue, and enhanced exam performance.6

In a larger observational study involving over 1,100 participants, Rhodiola resulted in significant reductions in stress-associated symptoms, including irritability, exhaustion, and concentration difficulties, within three days of use. These rapid improvements suggest that Rhodiola acts quicker as compared to many conventional treatments.4

Cognitive function

Stressful situations often preclude progressively declining cognitive performance. Rhodiola appears to reverse this effect, as demonstrated in a placebo-controlled trial among 161 military cadets under sleep deprivation who reported improved cadet reaction time, accuracy, and memory recall.7

Rhodiola’s benefits on cognitive function have been further confirmed when assessed among night-shift physicians, who reported improvements in their associative thinking, calculation speed, and short-term memory following Rhodiola supplementation.8

Mood and anxiety

Although limited, previous studies investigating the effects of Rhodiola on mood and anxiety have reported positive results, especially in the ability of this herb to improve symptoms of anxiety and depression.

For example, in a six-week study of 89 individuals with mild-to-moderate depression, varying dosages between 340-680 mg/day Rhodiola extract led to statistically significant improvements in mood, reduced insomnia, and increased emotional stability, with fewer side effects as compared to sertraline, a commonly prescribed antidepressant.3

In an open-label study of participants experiencing occupational stress, Rhodiola use improved general well-being, reduced anxiety, and decreased stress hormone levels. Importantly, these mood-related benefits were more pronounced in mild cases than those diagnosed who experience severe psychiatric symptoms, which limits the plant’s pharmacological use.9

Physical performance and endurance

Rhodiola was traditionally used by Siberian hunters and athletes to enhance physical stamina, with modern scientific studies confirming its moderate performance-enhancing effects. For example, in a double-blind crossover trial, a single dose of Rhodiola improved endurance exercise performance and reduced perceived exertion in young adults as compared to a placebo.10

Similar results were obtained in elite rowers who took Rhodiola supplements, experiencing lower lactate levels after exercise, indicating improved post-workout recovery and reduced exercise-associated fatigue. Although not a substitute for athletic training or adequate nutrition, Rhodiola may benefit athletes, workers, and other individuals undergoing physical or mental exertion.11

Rhodiola rosea. Image Credit: Leher / Shutterstock.com Rhodiola rosea. Image Credit: Leher / Shutterstock.com

Safety, dosage, and side effects

Rhodiola is generally considered safe for short-term use, with most clinical trials reporting few adverse effects. Effective human doses range from 200 to 600 mg/day of standardized extract containing 3% rosavins and 1% salidroside.2

When reported, side effects are often mild and rare, and may include dry mouth, dizziness, or hyperactivity and restlessness. Notably, Rhodiola is not recommended for pregnant or breastfeeding individuals due to limited clinical safety data on its potential teratogenicity. Caution is also advised when combining Rhodiola with antidepressants or other medications that affect neurotransmitters.4

Rhodiola is not a regulated substance under most government and public health agency policies, which eliminates any requirements that Rhodiola products must contain adequate or standardized levels of active compounds. As a result, consumers are advised to carefully inspect supplement ingredients and only purchase supplements from trusted brands that undergo third-party testing. When in doubt, consumers and prospective users should consult with their nutritionist or local healthcare providers.

Limitations and areas for further research

Although current research on Rhodiola is promising and growing at a rapid pace, it has several limitations that may prevent its widespread adoption. Many studies employ small and limited sample cohorts, have short follow-up durations, and often lack rigorous research methodologies, such as blinding and controls.2,4

Furthermore, patients' outcomes can vary significantly based on the specific extract, dose differences, and subpopulations studied. Despite years of research in both clinical and nutritional fields, public health guidelines remain rare and vague.

A review of the literature reveals significant knowledge gaps, including a lack of data on the long-term effects of Rhodiola and its use in older populations, children, and individuals with complex medical conditions. Larger-scale trials are needed to confirm the role of Rhodiola in treating chronic fatigue, anxiety disorders, or major depressive disorders.

Conclusions

Rhodiola rosea is a moderately well-studied adaptogen that supports stress resilience and reduces fatigue by modulating the HPA axis, thus enhancing the activity of key neurotransmitters and conferring protection against oxidative stress.

Evidence from both clinical and observational studies supports the role of Rhodiola in enhancing cognitive performance, improving mood, and increasing physical endurance, especially in individuals exposed to frequent, high-stress environments. With its relatively safe profile and fast-acting benefits, Rhodiola is emerging as a useful tool in the modern non-artificial wellness toolkit.

Nevertheless, caution is warranted due to variability in product quality and the limited scope of current information from long-term studies. As interest in herbal adaptogens continues to grow, standardized, evidence-based approaches will be critical. Individuals considering Rhodiola should consult a healthcare professional and ensure they choose a high-quality, tested formulation.

References 

  1. Panossian, A., & Wikman, G. (2010). Effects of adaptogens on the central nervous system and the molecular mechanisms associated with their stress—protective activity. Pharmaceuticals, 3(1), 188–224. DOI: 10.3390/ph3010188, https://www.mdpi.com/1424-8247/3/1/188
  2. Ishaque, S., Shamseer, L., Bukutu, C., & Vohra, S. (2012). Rhodiola rosea for physical and mental fatigue: A systematic review. BMC Complementary and Alternative Medicine, 12, 70. DOI: 10.1186/1472-6882-12-70, https://bmccomplementmedtherapies.biomedcentral.com/articles/10.1186/1472-6882-12-70
  3. Amsterdam, J. D., Panossian, A. G., et al. (2009). A randomized, double-blind, placebo-controlled trial of Rhodiola rosea L. extract in the treatment of mild to moderate major depressive disorder. Nordic Journal of Psychiatry, 63(5), 387–393. DOI: 10.1055/s-0028-1088346, https://www.thieme-connect.de/products/ejournals/abstract/10.1055/s-0028-1088346
  4. Hung, S. K., Perry, R., & Ernst, E. (2011). The effectiveness and efficacy of Rhodiola rosea L.: A systematic review of randomized clinical trials. Phytomedicine, 18(4), 235–244. DOI: 10.1016/j.phymed.2010.08.014, https://www.sciencedirect.com/science/article/abs/pii/S0944711310002680
  5. Olsson, E. M. G., von Schéele, B., & Panossian, A. G. (2009). A randomized, double-blind, placebo-controlled, parallel-group study of the standardized extract SHR-5 of the roots of Rhodiola rosea in the treatment of subjects with stress-related fatigue. Planta Medica, 75(2), 105–112. DOI: 10.1055/s-0028-1088346, https://www.thieme-connect.de/products/ejournals/abstract/10.1055/s-0028-1088346
  6. Spasov, A. A., Wikman, G. K., Mandrikov, V. B., Mironova, I. A., & Neumoin, V. V. (2000). A double-blind, placebo-controlled pilot study of the stimulating and adaptogenic effect of Rhodiola rosea SHR-5 extract on the fatigue of students caused by stress during an examination period with a repeated low-dose regimen. Phytomedicine, 7(2), 85–89. DOI: 10.1016/s0944-7113(00)80078-1, https://www.sciencedirect.com/science/article/abs/pii/S0944711300800781
  7. Shevtsov, V. A. et al. (2003). A randomized trial of two different doses of a SHR-5 Rhodiola rosea extract versus placebo and control of capacity for mental work. Phytomedicine, 10(2–3), 95–105. DOI: 10.1078/094471103321659780, https://www.sciencedirect.com/science/article/abs/pii/S0944711304702007
  8. Darbinyan, V., et al. (2000). Rhodiola rosea in stress-induced fatigue—a double-blind cross-over study. Phytomedicine, 7(5), 365–371. DOI: 10.1016/S0944-7113(00)80055-0, https://www.sciencedirect.com/science/article/abs/pii/S0944711300800550
  9. Bystritsky, A., Kerwin, L., & Feusner, J. D. (2008). A pilot study of Rhodiola rosea (Rhodax) for generalized anxiety disorder (GAD). Journal of Alternative and Complementary Medicine, 14(2), 175–180. DOI: 10.1089/acm.2007.7117, https://www.liebertpub.com/doi/abs/10.1089/acm.2007.7117?journalCode=acm
  10. De Bock, K., Eijnde, B. O., & Hespel, P. (2004). Acute Rhodiola rosea intake can improve endurance exercise performance. International Journal of Sport Nutrition and Exercise Metabolism, 14(3), 298–307. DOI: 10.1123/ijsnem.14.3.298, https://journals.humankinetics.com/view/journals/ijsnem/14/3/article-p298.xml
  11. Abidov, M., Crendal, F., Grachev, S., Seifulla, R., & Ziegenfuss, T. (2003). Effect of extracts from Rhodiola rosea and Rhodiola crenulata on ATP content in mitochondria of skeletal muscles. Bulletin of Experimental Biology and Medicine, 136(6), 585–587. DOI: 10.1023/b:bebm.0000020211.24779.15, https://link.springer.com/article/10.1023/B:BEBM.0000020211.24779.15

Further Reading

Last Updated: Jul 1, 2025

Hugo Francisco de Souza

Written by

Hugo Francisco de Souza

Hugo Francisco de Souza is a scientific writer based in Bangalore, Karnataka, India. His academic passions lie in biogeography, evolutionary biology, and herpetology. He is currently pursuing his Ph.D. from the Centre for Ecological Sciences, Indian Institute of Science, where he studies the origins, dispersal, and speciation of wetland-associated snakes. Hugo has received, amongst others, the DST-INSPIRE fellowship for his doctoral research and the Gold Medal from Pondicherry University for academic excellence during his Masters. His research has been published in high-impact peer-reviewed journals, including PLOS Neglected Tropical Diseases and Systematic Biology. When not working or writing, Hugo can be found consuming copious amounts of anime and manga, composing and making music with his bass guitar, shredding trails on his MTB, playing video games (he prefers the term ‘gaming’), or tinkering with all things tech.

Citations

Please use one of the following formats to cite this article in your essay, paper or report:

  • APA

    Francisco de Souza, Hugo. (2025, July 01). Rhodiola Rosea: Evidence-Based Health Benefits and Clinical Insights. News-Medical. Retrieved on January 16, 2026 from https://www.appetitewellbeing.com/health/Rhodiola-Rosea-Evidence-Based-Health-Benefits-and-Clinical-Insights.aspx.

  • MLA

    Francisco de Souza, Hugo. "Rhodiola Rosea: Evidence-Based Health Benefits and Clinical Insights". News-Medical. 16 January 2026. <https://www.appetitewellbeing.com/health/Rhodiola-Rosea-Evidence-Based-Health-Benefits-and-Clinical-Insights.aspx>.

  • Chicago

    Francisco de Souza, Hugo. "Rhodiola Rosea: Evidence-Based Health Benefits and Clinical Insights". News-Medical. https://www.appetitewellbeing.com/health/Rhodiola-Rosea-Evidence-Based-Health-Benefits-and-Clinical-Insights.aspx. (accessed January 16, 2026).

  • Harvard

    Francisco de Souza, Hugo. 2025. Rhodiola Rosea: Evidence-Based Health Benefits and Clinical Insights. News-Medical, viewed 16 January 2026, https://www.appetitewellbeing.com/health/Rhodiola-Rosea-Evidence-Based-Health-Benefits-and-Clinical-Insights.aspx.

Comments

The opinions expressed here are the views of the writer and do not necessarily reflect the views and opinions of News Medical.
Post a new comment
Post

While we only use edited and approved content for Azthena answers, it may on occasions provide incorrect responses. Please confirm any data provided with the related suppliers or authors. We do not provide medical advice, if you search for medical information you must always consult a medical professional before acting on any information provided.

Your questions, but not your email details will be shared with OpenAI and retained for 30 days in accordance with their privacy principles.

Please do not ask questions that use sensitive or confidential information.

Read the full Terms & Conditions.